Coarse Wavelength Division Multiplexer using Cascade MZI
Coarse Wavelength division multiplexer using Cascade MZI
Source Code
1
2
3
4
5
6
7
8
9
10
11
12
13
14
from functools import partial
from pathlib import Path
import gdsfactory as gf
import jax
import jax.numpy as jnp
import matplotlib.pyplot as plt
import numpy as np
import sax
import meep as mp
import gplugins
import gplugins.gmeep as gm
import gplugins.tidy3d as gt
from gplugins.common.config import PATH
import inspect
1
2
Using MPI version 4.1, 1 processes
[32m2025-12-07 03:11:00.640[0m | [1mINFO [0m | [36mgplugins.gmeep[0m:[36m<module>[0m:[36m39[0m - [1mMeep '1.31.0' installed at ['/home/ramprakash/anaconda3/envs/si_photo/lib/python3.13/site-packages/meep'][0m
Source Code
1
2
3
4
5
6
7
8
9
10
11
12
13
14
15
16
17
18
19
20
21
22
fsr = 0.01
gap = 0.15
width = 0.45
wavelengths = np.linspace(1.45, 1.65, 50)
lda_c = wavelengths[wavelengths.size // 2]
pdk = gf.get_active_pdk()
layer_stack = pdk.get_layer_stack()
core = layer_stack.layers["core"]
clad = layer_stack.layers["clad"]
box = layer_stack.layers["box"]
layer_stack.layers.pop("substrate", None)
print(
f"""Stack:
- {clad.material} clad with {clad.thickness}µm
- {core.material} clad with {core.thickness}µm
- {box.material} clad with {box.thickness}µm"""
)
1
2
3
4
Stack:
- sio2 clad with 3.0µm
- si clad with 0.22µm
- sio2 clad with 3.0µm
Source Code
1
2
3
4
5
6
7
8
9
10
11
12
13
14
15
16
17
18
19
20
21
22
23
24
25
26
27
28
29
30
31
32
33
34
35
36
37
38
39
40
41
cross_section = pdk.get_cross_section("strip", width=width)
coupler_sc = partial(
gf.components.coupler,
gap=gap,
dx=5,
dy=2,
cross_section=cross_section,
) # Coupler Strip C-Band
coupler = coupler_sc(gap=gap, length=0.0)
coupler.draw_ports()
# coupler.show() # show it in klayout
coupler.plot() # plot it
# Define materials
Si = mp.Medium(index=3.45)
SiO2 = mp.Medium(index=1.45)
resolution = 30
dpml = 1
pad = 1
sx = dpml + -(coupler.ports["o1"].x) + (coupler.ports["o4"].x) + dpml
sy = (
dpml
+ pad
+ -(coupler.ports["o1"].y)
+ (coupler.ports["o4"].y)
+ pad
+ dpml
)
port_symmetries_coupler = {
"o1": {
"o1@0,o1@0": ["o2@0,o2@0", "o3@0,o3@0", "o4@0,o4@0"],
"o2@0,o1@0": ["o1@0,o2@0", "o3@0,o4@0", "o4@0,o3@0"],
"o3@0,o1@0": ["o1@0,o3@0", "o2@0,o4@0", "o4@0,o2@0"],
"o4@0,o1@0": ["o1@0,o4@0", "o2@0,o3@0", "o3@0,o2@0"],
}
}
Lets first do a 2.5D simualtion with effective mode approximation
Source Code
1
2
3
4
5
6
7
8
9
10
core_material = gplugins.get_effective_indices(
core_material=3.4777,
clad_materialding=1.444,
nsubstrate=1.444,
thickness=0.22,
wavelength=1.55,
polarization="te",
)[0]
core_material
1
2.8494636999424405
Full FDTD for couplers
Using meep for the simaultions
Source Code
1
2
3
4
5
6
7
8
9
10
11
12
13
14
15
16
17
18
19
20
21
22
23
24
25
26
27
28
29
30
31
32
33
34
35
36
37
38
sim_lengths = range(0,1,1)
mp.verbosity(0)
jobs = [
dict(
component=coupler_sc(gap=gap, length=length, cross_section=cross_section), #gf.components.straight(length=length+1), #
filepath=Path(f'/home/ramprakash/Integrated_Tests/test_outputs/dc_{length}.npz'),
port_source_names=['o1'],
port_source_modes={'o1':[0]},
port_modes=[0],
xmargin_left=1,
overwrite=False,
xmargin_right=1,
ymargin_top=1,
ymargin_bot=1,
tpml=dpml,
resolution=30,
wavelength_start=wavelengths[0],
wavelength_stop=wavelengths[-1],
wavelength_points=len(wavelengths),
port_source_offset=0.2,
port_monitor_offset=-0.1,
distance_source_to_monitors=0.3,
port_symmetries=port_symmetries_coupler,
layer_stack=layer_stack,
is_3d=False,
material_name_to_meep=dict(si=core_material),
# run=False
)
for length in sim_lengths
]
filepaths = gm.write_sparameters_meep_batch(
jobs=jobs,
cores_per_run=8,
total_cores=32,
lazy_parallelism=False,
# filepaths='data/dc.npz'
)
Source Code
1
2
3
4
5
6
7
8
9
10
11
12
13
14
15
16
17
18
19
20
21
22
23
24
25
26
27
28
29
30
31
32
33
34
35
36
37
38
39
40
41
42
import re
sim_lengths = range(1,20,1)
folder = Path("/home/ramprakash/Integrated_Tests/test_outputs/")
# get files that start with dc_ and end with .npz, excluding "no_eff"
files = [
f for f in folder.glob("dc_*.npz")
if "no_eff" not in f.name
]
# sort by the number in filename (e.g., dc_14.npz → 14)
files = sorted(files, key=lambda f: int(re.search(r"\d+", f.stem).group()))
# load data in correct order
drop = np.array([np.abs(np.load(f)["o3@0,o1@0"])**2 for f in files])
thru = np.array([np.abs(np.load(f)["o4@0,o1@0"])**2 for f in files])
loss = 1 - (drop + thru)
sim_ratios = drop / (drop + thru)
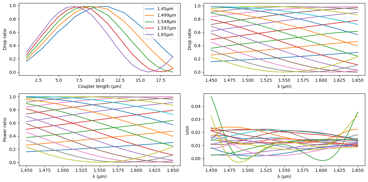
fig, ax = plt.subplots(2, 2, figsize=(12, 6))
for i in np.linspace(0, wavelengths.size - 1, 5, dtype=int):
ax[0, 0].plot(
sim_lengths, drop[:, i], label=f"{gf.snap.snap_to_grid(wavelengths[i])}µm"
)
for i, length in enumerate(sim_lengths):
ax[0, 1].plot(wavelengths, drop[i, :], label=f"{length}µm")
ax[1, 0].plot(wavelengths, sim_ratios[i, :], label=f"{length}µm")
ax[1, 1].plot(wavelengths, loss[i, :], label=f"{length}µm")
ax[0, 0].set_xlabel("Coupler length (µm)")
ax[0, 0].set_ylabel("Drop ratio")
ax[0, 1].set_xlabel("λ (µm)")
ax[0, 1].set_ylabel("Drop ratio")
ax[1, 0].set_xlabel("λ (µm)")
ax[1, 0].set_ylabel("Power ratio")
ax[1, 1].set_xlabel("λ (µm)")
ax[1, 1].set_ylabel("Loss")
ax[0, 0].legend()
# ax[0, 1].legend()
fig.tight_layout()
Fit funciton to calculate the length of DC for given power values
Source Code
1
2
3
4
5
6
7
8
9
10
11
12
13
14
15
16
17
18
19
20
21
22
23
24
25
def coupler_length(λ: float = 1.55, power_ratio: float = 0.5):
i0 = np.argmin(np.abs(wavelengths - λ))
i1 = min(i0 + 1, len(wavelengths) - 1) if λ > wavelengths[i] else max(i0 - 1, 0)
if i1 != i0:
pr = (
sim_ratios[:, i0] * (wavelengths[i1] - λ)
+ sim_ratios[:, i1] * (λ - wavelengths[i0])
) / (wavelengths[i1] - wavelengths[i0])
else:
pr = sim_ratios[:, i0]
y = pr - power_ratio
root_indices = np.flatnonzero(y[1:] * y[:-1] <= 0)
if len(root_indices) == 0:
return sim_lengths[np.argmin(np.abs(y))]
j = root_indices[0]
return (
sim_lengths[j] * (pr[j + 1] - power_ratio)
+ sim_lengths[j + 1] * (power_ratio - pr[j])
) / (pr[j + 1] - pr[j])
power_ratios = [0.50, 0.13, 0.12, 0.50, 0.25]
lengths = [gf.snap.snap_to_grid(coupler_length(lda_c, pr)) for pr in power_ratios]
print("Power ratios:", power_ratios)
print("Lengths:", lengths)
1
2
Power ratios: [0.5, 0.13, 0.12, 0.5, 0.25]
Lengths: [2.976, 16.484, 16.59, 2.976, 1.178]
Calcauting the sparamters for these lengths
Source Code
1
2
3
4
5
6
7
8
9
10
11
12
13
14
15
16
17
18
19
20
21
22
23
24
25
26
27
28
29
30
31
32
33
34
35
36
37
# sim_lengths = range(0,1,1)
mp.verbosity(0)
jobs = [
dict(
component=coupler_sc(gap=gap, length=length, cross_section=cross_section), #gf.components.straight(length=length+1), #
filepath=Path(f'/home/ramprakash/Integrated_Tests/test_outputs/fitted_dc_{length}.npz'),
port_source_names=['o1'],
port_source_modes={'o1':[0]},
port_modes=[0],
xmargin_left=1,
overwrite = False, # overwrite
xmargin_right=1,
ymargin_top=1,
ymargin_bot=1,
tpml=dpml,
resolution=30,
wavelength_start=wavelengths[0],
wavelength_stop=wavelengths[-1],
wavelength_points=len(wavelengths),
port_source_offset=0.2,
port_monitor_offset=-0.1,
distance_source_to_monitors=0.3,
port_symmetries=port_symmetries_coupler,
layer_stack=layer_stack,
is_3d=False,
material_name_to_meep=dict(si=core_material),
# run=False
)
for length in lengths
]
filepaths = gm.write_sparameters_meep_batch(
jobs=jobs,
cores_per_run=6,
total_cores=32,
lazy_parallelism=False,
# filepaths='data/dc.npz'
)
Source Code
1
2
3
4
5
6
7
8
9
10
11
12
13
14
15
16
17
18
19
20
21
22
23
24
25
26
27
28
s_drop_list = np.array([np.load(s)["o3@0,o1@0"] for s in filepaths]) # Remember to sort
s_thru_list = np.array([np.load(s)["o4@0,o1@0"] for s in filepaths])
fig, ax = plt.subplots(1, 3, figsize=(12, 3))
errors = []
i = wavelengths.size // 2
for pr, sp_drop, sp_thru in zip(power_ratios, s_drop_list, s_thru_list):
drop = np.abs(sp_drop) ** 2
thru = np.abs(sp_thru) ** 2
lda_c == wavelengths[i]
errors.append(drop[i] / (thru[i] + drop[i]) - pr)
ax[0].plot(wavelengths, thru, label=f"{1 - pr}")
ax[1].plot(wavelengths, drop, label=f"{pr}")
ax[2].plot(wavelengths, 1 - thru - drop)
ax[0].set_ylabel("Thru ratio")
ax[1].set_ylabel("Drop ratio")
ax[2].set_ylabel("Loss")
ax[0].set_ylim(0, 1)
ax[1].set_ylim(0, 1)
ax[0].legend()
ax[1].legend()
fig.tight_layout()
print(errors)
# FIXME: I see that the longer lengths highly dispersive with wavelength. Smaller lengths could do the same. Or something else is wrong
Clacualted the path length for a given FSR
Source Code
1
2
3
4
5
6
7
8
9
10
11
12
13
14
15
16
17
18
19
20
21
22
23
24
25
26
27
28
29
30
31
32
33
34
35
36
37
def mzi_path_difference(waveguide: gt.modes.Waveguide, group_index: float, fsr: float):
return waveguide.wavelength**2 / (fsr * group_index)
nm = 1e-3
mode_solver_specs = dict(
core_material=core.material,
clad_material=clad.material,
core_width=width,
core_thickness=core.thickness,
box_thickness=min(2.0, box.thickness),
clad_thickness=min(2.0, clad.thickness),
side_margin=2.0,
num_modes=2,
grid_resolution=20,
precision="double",
)
waveguide_solver = gt.modes.Waveguide(
wavelength=lda_c, **mode_solver_specs, group_index_step=True
)
waveguide_solver.plot_field(field_name="Ex", mode_index=0)
ng = waveguide_solver.n_group[0]
ne = waveguide_solver.n_eff[0].real
print(f"ne = {ne}, ng = {ng}")
fsr_s1 = 40e-3 # µm
length_delta = mzi_path_difference(waveguide_solver, ng, fsr_s1)
length_pi = lda_c / (2 * ne)
mzi_deltas = (
length_delta,
2 * length_delta,
-length_pi - 2 * length_delta,
-2 * length_delta,
)
print(f"Path difference (ΔL = {length_delta}, Lπ = {length_pi}):", mzi_deltas)
1
2
3
[32m2025-12-07 03:11:39.492[0m | [1mINFO [0m | [36mgplugins.tidy3d.modes[0m:[36m_data[0m:[36m266[0m - [1mload data from /home/ramprakash/.gdsfactory/modes/Waveguide_fef714a91475d5ea.npz.[0m
ne = 2.4241435358010763, ng = 4.271061538394366
Path difference (ΔL = 14.099718968513637, Lπ = 0.3201214765968152): (np.float64(14.099718968513637), np.float64(28.199437937027273), np.float64(-28.519559413624087), np.float64(-28.199437937027273))
Finally using the lengths and dc we create a cacased mzi layout in gdsfactory
Source Code
1
2
3
4
5
6
7
8
lengths = [2.976, 16.484, 16.59, 2.976, 1.178]
layout = gf.c.mzi_lattice(
coupler_gaps=(gap,) * len(lengths),
coupler_lengths=tuple(lengths),
delta_lengths=tuple([abs(x) for x in mzi_deltas]),
cross_section='strip',
)
layout.plot()
Compact models
Straight waveguide
Source Code
1
2
3
4
5
6
7
8
9
10
11
12
# calulating neff using tidy3d mode solver - free
straight_wavelengths = jnp.linspace(wavelengths[0], wavelengths[-1], 11)
straight_neffs = np.empty(straight_wavelengths.size, dtype=complex)
waveguide_solver = gt.modes.Waveguide(
wavelength=list(straight_wavelengths), **mode_solver_specs
)
straight_neffs = waveguide_solver.n_eff[:, 0]
plt.plot(straight_wavelengths, straight_neffs.real, ".-")
plt.xlabel("λ (µm)")
plt.ylabel("n_eff")
1
2
3
4
5
6
7
8
9
10
11
12
13
14
/home/ramprakash/anaconda3/envs/si_photo/lib/python3.13/site-packages/numpy/_core/getlimits.py:559: UserWarning: The value of the smallest subnormal for <class 'numpy.float64'> type is zero.
setattr(self, word, getattr(machar, word).flat[0])
/home/ramprakash/anaconda3/envs/si_photo/lib/python3.13/site-packages/numpy/_core/getlimits.py:91: UserWarning: The value of the smallest subnormal for <class 'numpy.float64'> type is zero.
return self._float_to_str(self.smallest_subnormal)
WARNING:2025-12-07 03:11:47,581:jax._src.xla_bridge:850: An NVIDIA GPU may be present on this machine, but a CUDA-enabled jaxlib is not installed. Falling back to cpu.
[32m2025-12-07 03:11:47.755[0m | [1mINFO [0m | [36mgplugins.tidy3d.modes[0m:[36m_data[0m:[36m266[0m - [1mload data from /home/ramprakash/.gdsfactory/modes/Waveguide_2eaa822cd5c7cfd7.npz.[0m
Text(0, 0.5, 'n_eff')
Sax compact model
Source Code
1
2
3
4
5
6
7
8
9
10
11
12
13
14
15
16
17
18
19
20
21
@jax.jit
def complex_interp(xs, x, y):
ys_mag = jnp.interp(xs, x, jnp.abs(y))
ys_phase = jnp.interp(xs, x, jnp.unwrap(jnp.angle(y)))
return ys_mag * jnp.exp(1j * ys_phase)
@jax.jit
def straight_model(wl=np.linspace(1.45, 1.65, 50), length: float = 1.0):
n_eff = complex_interp(wl, straight_wavelengths, straight_neffs.real)
s21 = jnp.exp(2j * jnp.pi * n_eff * length / wl)
zero = jnp.zeros_like(wl)
return {
("o1", "o1"): zero,
("o1", "o2"): s21,
("o2", "o1"): s21,
("o2", "o2"): zero,
}
straight_model(wl=1.55)
1
2
3
4
{('o1', 'o1'): Array(0., dtype=float64, weak_type=True),
('o1', 'o2'): Array(-0.99911567+0.04204618j, dtype=complex128),
('o2', 'o1'): Array(-0.99911567+0.04204618j, dtype=complex128),
('o2', 'o2'): Array(0., dtype=float64, weak_type=True)}
Source Code
1
2
3
4
5
6
7
8
9
10
11
12
13
14
15
16
17
18
19
20
21
22
23
24
# Test straight waveguide
wl_test = np.linspace(1.45, 1.65, 1000)
# test_straight = straight_model(length=100.0)
s_straight = straight_model(wl=wl_test, length=100.0)
fig, axes = plt.subplots(1, 3, figsize=(15, 4))
axes[0].plot(wl_test, np.abs(s_straight[("o1", "o2")]))
axes[0].set_title('|S21| - Transmission amplitude')
axes[0].set_ylabel('Amplitude')
axes[1].plot(wl_test, np.angle(s_straight[("o1", "o2")]))
axes[1].set_title('Phase(S21)')
axes[1].set_ylabel('Phase (rad)')
axes[2].plot(wl_test, np.abs(s_straight[("o1", "o1")]))
axes[2].set_title('|S11| - Reflection')
for ax in axes:
ax.set_xlabel('λ (µm)')
ax.grid(True, alpha=0.3)
plt.tight_layout()
plt.show()
Bend waveguides
For bends we will use the full s matrix calculations again
Source Code
1
2
3
4
5
6
7
8
9
10
11
12
13
14
15
16
17
18
19
20
21
22
23
24
25
26
27
28
29
30
31
32
33
34
35
36
37
38
39
40
def bend_model(cross_section: gf.typings.CrossSectionSpec = "strip", wavelengths: list =np.linspace(1.45, 1.65, 50)):
component = gf.components.bend_euler(cross_section=cross_section)
s = gm.write_sparameters_meep(
component=component,
filepath=Path(f'/home/ramprakash/Integrated_Tests/test_outputs/bend_wg.npz'),
layer_stack=layer_stack,
xmargin_left=1,
overwrite=False, # overwrite
xmargin_right=1,
ymargin_top=1,
ymargin_bot=1,
tpml=dpml,
resolution=30,
wavelength_start=wavelengths[0],
wavelength_stop=wavelengths[-1],
wavelength_points=len(wavelengths),
port_source_offset=0.2,
port_monitor_offset=-0.1,
distance_source_to_monitors=0.3,
is_3d=False,
port_symmetries=gm.port_symmetries.port_symmetries_1x1,
material_name_to_meep=dict(si=core_material),
)
# wavelengths = s.pop("wavelengths")
@jax.jit
def _model(wl=1.55):
s11 = complex_interp(wl, wavelengths, s["o1@0,o1@0"])
s21 = complex_interp(wl, wavelengths, s["o2@0,o1@0"])
return {
("o1", "o1"): s11,
("o1", "o2"): s21,
("o2", "o1"): s21,
("o2", "o2"): s11,
}
return _model
bend_model(cross_section=cross_section, wavelengths=wavelengths)()
1
2
3
4
5
6
7
8
9
10
[32m2025-12-07 03:11:58.227[0m | [1mINFO [0m | [36mgplugins.gmeep.write_sparameters_meep[0m:[36mwrite_sparameters_meep[0m:[36m397[0m - [1mSimulation loaded from PosixPath('/home/ramprakash/Integrated_Tests/test_outputs/bend_wg.npz')[0m
{('o1', 'o1'): Array(-0.0078387-0.00469722j, dtype=complex128),
('o1', 'o2'): Array(0.92702953+0.37199991j, dtype=complex128),
('o2', 'o1'): Array(0.92702953+0.37199991j, dtype=complex128),
('o2', 'o2'): Array(-0.0078387-0.00469722j, dtype=complex128)}
Circuit model test for the bend
Source Code
1
2
3
4
5
6
7
8
9
10
11
c = gf.Component()
ref = c.add_ref(gf.components.bend_euler(cross_section=cross_section))
c.add_ports(ref.ports)
x, _ = sax.circuit(
c.get_netlist(), {"bend_euler": bend_model(cross_section=cross_section)}
)
s = x(wl=wavelengths)
plt.plot(wavelengths, jnp.abs(s[("o1", "o2")]) ** 2)
plt.ylabel("S21")
plt.xlabel("λ (µm)")
1
2
3
4
5
6
7
[32m2025-12-07 03:12:02.052[0m | [1mINFO [0m | [36mgplugins.gmeep.write_sparameters_meep[0m:[36mwrite_sparameters_meep[0m:[36m397[0m - [1mSimulation loaded from PosixPath('/home/ramprakash/Integrated_Tests/test_outputs/bend_wg.npz')[0m
Text(0.5, 0, 'λ (µm)')
Terminator models
Building terminator model which absorbers all the light
Source Code
1
2
3
4
5
6
7
8
9
10
11
12
13
14
def terminator_model(wl=1.55, **kwargs):
"""Perfect absorber - no reflections, all power absorbed"""
wl = jnp.atleast_1d(wl)
zero = jnp.zeros_like(wl)
if wl.shape == (1,):
zero = jnp.squeeze(zero)
return {
("o1", "o1"): zero, # No reflection
("o1", "o2"): zero, # No transmission (absorbed)
("o2", "o1"): zero,
("o2", "o2"): zero,
}
Directional coupler models
Building a compact coupler model from full s-parameters
Source Code
1
2
3
4
5
6
7
8
9
10
11
12
13
14
15
16
17
18
19
20
21
22
23
24
25
26
27
28
29
30
31
32
33
34
35
36
37
38
39
40
41
42
43
44
45
46
47
48
49
50
51
52
53
54
55
56
57
58
59
60
61
62
63
64
65
66
67
68
69
70
71
72
73
74
75
76
77
78
def coupler_model(
gap: float = 0.15,
length: float = 1.0,
dx: float = 5.0,
dy: float = 2.0,
cross_section: gf.typings.CrossSectionSpec = "strip",
wavelengths: list =np.linspace(1.45, 1.65, 50)
):
component = coupler_sc(
gap=gap,
length=length,
dx=dx,
dy=dy,
)
# separation = 2.0
# bend_factor = 4.0
s = gm.write_sparameters_meep_mpi(
component,
cores=8,
xmargin_left=1,
xmargin_right=1,
ymargin_top=1,
ymargin_bot=1,
port_source_names=['o1'],
port_source_modes={'o1':[0]},
port_modes=[0],
filepath=Path(f'/home/ramprakash/Integrated_Tests/test_outputs/fitted_dc_{length}.npz'),
tpml=dpml,
resolution=resolution,
wavelength_start=wavelengths[0],
wavelength_stop=wavelengths[-1],
wavelength_points=len(wavelengths),
port_source_offset=0.2,
port_monitor_offset=-0.1,
distance_source_to_monitors=0.3,
port_symmetries=port_symmetries_coupler,
layer_stack=layer_stack,
material_name_to_meep=dict(si=core_material),
is_3d=False,
overwrite=False,
run=False
)
# wavelengths = s.pop("wavelengths")
@jax.jit
def _model(wl=1.55):
s11 = complex_interp(wl, wavelengths, np.load(s)["o1@0,o1@0"])
s21 = complex_interp(wl, wavelengths, np.load(s)["o2@0,o1@0"])
s31 = complex_interp(wl, wavelengths, np.load(s)["o3@0,o1@0"])
s41 = complex_interp(wl, wavelengths, np.load(s)["o4@0,o1@0"])
return {
("o1", "o1"): s11,
("o1", "o2"): s21,
("o1", "o3"): s31,
("o1", "o4"): s41,
("o2", "o1"): s21,
("o2", "o2"): s11,
("o2", "o3"): s41,
("o2", "o4"): s31,
("o3", "o1"): s31,
("o3", "o2"): s41,
("o3", "o3"): s11,
("o3", "o4"): s21,
("o4", "o1"): s41,
("o4", "o2"): s31,
("o4", "o3"): s21,
("o4", "o4"): s11,
}
return _model
coupler_model(
gap=gap,
length=lengths[0],
cross_section=cross_section,
wavelengths=wavelengths
)()
1
2
3
4
5
6
7
8
9
10
11
12
13
14
15
16
17
18
19
20
21
22
[32m2025-12-07 03:12:10.189[0m | [1mINFO [0m | [36mgplugins.gmeep.write_sparameters_meep_mpi[0m:[36mwrite_sparameters_meep_mpi[0m:[36m148[0m - [1mSimulation PosixPath('/home/ramprakash/Integrated_Tests/test_outputs/fitted_dc_2.976.npz') already exists[0m
{('o1', 'o1'): Array(-0.00039673-0.00487822j, dtype=complex128),
('o1', 'o2'): Array(0.00611158+0.00253545j, dtype=complex128),
('o1', 'o3'): Array(0.61869085-0.32597752j, dtype=complex128),
('o1', 'o4'): Array(-0.32943778-0.62498716j, dtype=complex128),
('o2', 'o1'): Array(0.00611158+0.00253545j, dtype=complex128),
('o2', 'o2'): Array(-0.00039673-0.00487822j, dtype=complex128),
('o2', 'o3'): Array(-0.32943778-0.62498716j, dtype=complex128),
('o2', 'o4'): Array(0.61869085-0.32597752j, dtype=complex128),
('o3', 'o1'): Array(0.61869085-0.32597752j, dtype=complex128),
('o3', 'o2'): Array(-0.32943778-0.62498716j, dtype=complex128),
('o3', 'o3'): Array(-0.00039673-0.00487822j, dtype=complex128),
('o3', 'o4'): Array(0.00611158+0.00253545j, dtype=complex128),
('o4', 'o1'): Array(-0.32943778-0.62498716j, dtype=complex128),
('o4', 'o2'): Array(0.61869085-0.32597752j, dtype=complex128),
('o4', 'o3'): Array(0.00611158+0.00253545j, dtype=complex128),
('o4', 'o4'): Array(-0.00039673-0.00487822j, dtype=complex128)}
Using the netlist for different lengths and model for the lengths
Source Code
1
2
3
4
5
6
7
8
9
10
11
12
13
14
15
16
17
18
19
20
21
22
23
24
25
26
27
28
29
30
31
32
33
34
35
36
37
38
39
40
41
42
43
44
45
46
47
48
49
50
51
52
import inspect
def patch_netlist(netlist, models, models_to_patch):
instances = netlist["instances"]
for name in instances:
model = instances[name]
if model["component"] in models_to_patch:
component = model["component"]
i = 0
new_component = f"{component}_v{i}"
while new_component in models:
i += 1
new_component = f"{component}_v{i}"
settings = model["settings"]
settings_fitered = {
k: v
for k, v in settings.items()
if k in inspect.signature(models_to_patch[component]).parameters
}
models[new_component] = models_to_patch[model["component"]](
**settings_fitered
)
del model["settings"]
model["component"] = new_component
return netlist, models
pl_set = sorted(set(zip(power_ratios, lengths)))
fig, ax = plt.subplots(len(pl_set), 1, figsize=(4, 3 * len(pl_set)))
for i, (pr, length) in enumerate(pl_set):
c = gf.Component()
ref = c.add_ref(
coupler_sc(
gap,
length,
)
)
c.add_ports(ref.ports)
netlist, models = patch_netlist(c.get_netlist(), {}, {"coupler": coupler_model})
x, _ = sax.circuit(netlist, models)
s = x(wl=wavelengths)
ax[i].plot(wavelengths, jnp.abs(s[("o1", "o3")]) ** 2, label="Cross")
ax[i].plot(wavelengths, jnp.abs(s[("o1", "o4")]) ** 2, label="Through")
ax[i].axvline(lda_c, c="tab:gray", ls=":", lw=1)
ax[i].set_ylim(0, 1)
ax[i].set_xlabel("λ (µm)")
ax[i].set_title(f"l = {length:.2f} µm ({pr})")
ax[0].legend()
fig.tight_layout()
1
2
3
4
5
6
[32m2025-12-05 03:05:26.504[0m | [1mINFO [0m | [36mgplugins.gmeep.write_sparameters_meep_mpi[0m:[36mwrite_sparameters_meep_mpi[0m:[36m148[0m - [1mSimulation PosixPath('/home/ramprakash/Integrated_Tests/test_outputs/fitted_dc_0.02.npz') already exists[0m
[32m2025-12-05 03:05:27.198[0m | [1mINFO [0m | [36mgplugins.gmeep.write_sparameters_meep_mpi[0m:[36mwrite_sparameters_meep_mpi[0m:[36m148[0m - [1mSimulation PosixPath('/home/ramprakash/Integrated_Tests/test_outputs/fitted_dc_0.115.npz') already exists[0m
[32m2025-12-05 03:05:27.878[0m | [1mINFO [0m | [36mgplugins.gmeep.write_sparameters_meep_mpi[0m:[36mwrite_sparameters_meep_mpi[0m:[36m148[0m - [1mSimulation PosixPath('/home/ramprakash/Integrated_Tests/test_outputs/fitted_dc_1.189.npz') already exists[0m
[32m2025-12-05 03:05:28.528[0m | [1mINFO [0m | [36mgplugins.gmeep.write_sparameters_meep_mpi[0m:[36mwrite_sparameters_meep_mpi[0m:[36m148[0m - [1mSimulation PosixPath('/home/ramprakash/Integrated_Tests/test_outputs/fitted_dc_2.996.npz') already exists[0m
Circuit simualtions
Circuit simaultion of single MZI’s with differnt path lenght and DCs
Source Code
1
2
3
4
5
6
7
8
9
10
11
12
13
14
15
16
17
18
19
20
21
22
23
24
25
26
27
28
29
30
31
32
33
34
35
36
37
38
39
40
41
42
43
44
45
46
47
48
49
50
51
52
53
54
55
56
57
58
59
60
61
62
63
64
65
66
67
68
69
70
71
72
73
74
75
76
77
78
79
80
81
82
83
84
85
86
87
88
89
90
91
92
93
94
95
96
97
98
99
100
101
102
103
104
105
106
107
def patch_netlist(netlist, models, models_to_patch):
instances = netlist["instances"]
for name in instances:
model = instances[name]
if model["component"] in models_to_patch:
component = model["component"]
i = 0
new_component = f"{component}_v{i}"
while new_component in models:
i += 1
new_component = f"{component}_v{i}"
settings = model["settings"]
settings_filtered = {
k: v
for k, v in settings.items()
if k in inspect.signature(models_to_patch[component]).parameters
}
models[new_component] = models_to_patch[model["component"]](
**settings_filtered
)
del model["settings"]
model["component"] = new_component
return netlist, models
# lengths = [2.976, 16.484, 16.59, 2.976, 1.178] #
lengths = [2.996, 0.115, 0.02, 2.996, 1.189]
# Wavelength range for simulation
wl_test = np.linspace(1.50, 1.60, 200)
# Create figure with 2x2 subplots
fig, axes = plt.subplots(2, 2, figsize=(16, 12))
axes = axes.flatten() # Flatten to 1D array for easy indexing
# Loop through each MZI stage
for stage_idx in range(4):
# Get coupler indices for this MZI
splitter_idx = stage_idx
combiner_idx = stage_idx + 1
# Create couplers
splitter_coupler = gf.components.coupler(
gap=gap,
length=lengths[splitter_idx],
cross_section='strip',
)
combiner_coupler = gf.components.coupler(
gap=gap,
length=lengths[combiner_idx],
cross_section='strip',
)
# Create MZI
single_mzi = gf.components.mzi2x2_2x2_phase_shifter(
delta_length=np.abs(mzi_deltas[stage_idx]),
length_x=0.5,
length_y=1.0,
cross_section='strip',
straight_x_top=None,
splitter=splitter_coupler,
combiner=combiner_coupler,
)
single_netlist = single_mzi.get_netlist(recursive=False)
models_test = {
"straight": straight_model,
"bend_euler": straight_model,
}
single_netlist, models_test = patch_netlist(
netlist=single_netlist,
models=models_test,
models_to_patch={"coupler": coupler_model}
)
# Build circuit
single_circuit, _ = sax.circuit(netlist=single_netlist, models=models_test)
# Simulate
s_single = single_circuit(wl=wl_test)
# Plot on corresponding subplot
ax = axes[stage_idx]
ax.plot(wl_test, 20*np.log10(np.abs(s_single[("o1", "o3")])),
'b-', linewidth=2, label="o1→o3 (through)")
ax.plot(wl_test, 20*np.log10(np.abs(s_single[("o1", "o4")])),
'r--', linewidth=2, label="o1→o4 (cross)")
ax.set_xlabel("λ (µm)", fontsize=11)
ax.set_ylabel("Transmission (dB)", fontsize=11)
# ax.set_ylim(-60, 5)
ax.legend(fontsize=10)
ax.grid(True, alpha=0.3)
ax.set_title(f"Stage {stage_idx}: ΔL={mzi_deltas[stage_idx]:.2f}µm, "
f"L_split={lengths[splitter_idx]:.2f}µm, "
f"L_comb={lengths[combiner_idx]:.2f}µm",
fontsize=11)
plt.tight_layout()
plt.suptitle("Individual MZI Stage Responses", fontsize=14, y=1.00)
plt.show()
1
2
3
4
5
6
7
8
9
10
[32m2025-12-07 04:16:23.745[0m | [1mINFO [0m | [36mgplugins.gmeep.write_sparameters_meep_mpi[0m:[36mwrite_sparameters_meep_mpi[0m:[36m148[0m - [1mSimulation PosixPath('/home/ramprakash/Integrated_Tests/test_outputs/fitted_dc_2.996.npz') already exists[0m
[32m2025-12-07 04:16:23.747[0m | [1mINFO [0m | [36mgplugins.gmeep.write_sparameters_meep_mpi[0m:[36mwrite_sparameters_meep_mpi[0m:[36m148[0m - [1mSimulation PosixPath('/home/ramprakash/Integrated_Tests/test_outputs/fitted_dc_0.115.npz') already exists[0m
[32m2025-12-07 04:16:25.118[0m | [1mINFO [0m | [36mgplugins.gmeep.write_sparameters_meep_mpi[0m:[36mwrite_sparameters_meep_mpi[0m:[36m148[0m - [1mSimulation PosixPath('/home/ramprakash/Integrated_Tests/test_outputs/fitted_dc_0.115.npz') already exists[0m
[32m2025-12-07 04:16:25.119[0m | [1mINFO [0m | [36mgplugins.gmeep.write_sparameters_meep_mpi[0m:[36mwrite_sparameters_meep_mpi[0m:[36m148[0m - [1mSimulation PosixPath('/home/ramprakash/Integrated_Tests/test_outputs/fitted_dc_0.02.npz') already exists[0m
[32m2025-12-07 04:16:26.450[0m | [1mINFO [0m | [36mgplugins.gmeep.write_sparameters_meep_mpi[0m:[36mwrite_sparameters_meep_mpi[0m:[36m148[0m - [1mSimulation PosixPath('/home/ramprakash/Integrated_Tests/test_outputs/fitted_dc_0.02.npz') already exists[0m
[32m2025-12-07 04:16:26.451[0m | [1mINFO [0m | [36mgplugins.gmeep.write_sparameters_meep_mpi[0m:[36mwrite_sparameters_meep_mpi[0m:[36m148[0m - [1mSimulation PosixPath('/home/ramprakash/Integrated_Tests/test_outputs/fitted_dc_2.996.npz') already exists[0m
[32m2025-12-07 04:16:27.707[0m | [1mINFO [0m | [36mgplugins.gmeep.write_sparameters_meep_mpi[0m:[36mwrite_sparameters_meep_mpi[0m:[36m148[0m - [1mSimulation PosixPath('/home/ramprakash/Integrated_Tests/test_outputs/fitted_dc_2.996.npz') already exists[0m
[32m2025-12-07 04:16:27.708[0m | [1mINFO [0m | [36mgplugins.gmeep.write_sparameters_meep_mpi[0m:[36mwrite_sparameters_meep_mpi[0m:[36m148[0m - [1mSimulation PosixPath('/home/ramprakash/Integrated_Tests/test_outputs/fitted_dc_1.189.npz') already exists[0m
Cascade MZI circuit
Using the GDSFactory Component mzi_lattice for building a MZI casacde
Source Code
1
2
3
4
5
6
7
8
9
10
11
12
13
14
15
16
17
18
19
20
21
22
23
24
25
26
27
28
29
30
31
32
33
34
35
36
37
38
39
40
41
42
43
44
45
46
47
48
49
50
51
52
53
54
55
56
57
58
59
60
61
62
63
64
65
66
67
68
69
70
71
72
73
74
75
fix_lengths = [2.976, 2.976,]# 2.976, 2.976, 2.976]
# lengths = [2.976, 16.484, 16.59, 2.976, 1.178]
lengths = [2.996, 0.115, 0.02, 2.996, 1.189]
layout = gf.components.mzi_lattice(
coupler_gaps=(gap,) * len(lengths[:5]),
coupler_lengths=tuple(lengths[:5]),
delta_lengths=tuple([abs(x) for x in mzi_deltas[:4]]),
cross_section='strip',
)
layout.plot()
# Your patch function
def patch_netlist(netlist, models, models_to_patch):
instances = netlist["instances"]
for name in instances:
model = instances[name]
if model["component"] in models_to_patch:
component = model["component"]
i = 0
new_component = f"{component}_v{i}"
while new_component in models:
i += 1
new_component = f"{component}_v{i}"
settings = model["settings"]
settings_filtered = {
k: v
for k, v in settings.items()
if k in inspect.signature(models_to_patch[component]).parameters
}
models[new_component] = models_to_patch[model["component"]](
**settings_filtered
)
del model["settings"]
model["component"] = new_component
return netlist, models
# Get recursive netlist
recursive_netlist = layout.get_netlist(recursive=True)
# Initialize models with your existing models
models = {
"straight": straight_model,
"bend_euler": straight_model,#bend_model(cross_section='strip', wavelengths=wavelengths)
}
# Patch all sub-netlists in the recursive netlist
for component_name, netlist in recursive_netlist.items():
if "instances" in netlist:
netlist, models = patch_netlist(
netlist=netlist,
models=models,
models_to_patch={"coupler": coupler_model}
)
# Build SAX circuit with the patched recursive netlist
circuit, info = sax.circuit(netlist=recursive_netlist, models=models)
# Simulate
fig, ax = plt.subplots(1, 1, figsize=(12, 4))
lda = np.linspace(1.5, 1.6, 500)
s = circuit(wl=lda)
# Plot results
ax.plot(lda, 20 * jnp.log10(jnp.abs(s[("o1", "o3")])), label="o1→o3")
ax.plot(lda, 20 * jnp.log10(jnp.abs(s[("o1", "o4")])), label="o1→o4")
# ax.plot(lda, 20 * jnp.log10(jnp.abs(s[("o2", "o3")])), label="o2→o3")
# ax.plot(lda, 20 * jnp.log10(jnp.abs(s[("o2", "o4")])), label="o2→o4")
# ax.set_ylim(-10, 0)
ax.set_xlabel("λ (µm)")
ax.set_ylabel("Transmission (dB)")
ax.legend()
ax.grid(True, alpha=0.3)
plt.tight_layout()
plt.show()
print("Available ports:", list(s.keys()))
1
2
3
4
5
[32m2025-12-07 03:50:47.317[0m | [1mINFO [0m | [36mgplugins.gmeep.write_sparameters_meep_mpi[0m:[36mwrite_sparameters_meep_mpi[0m:[36m148[0m - [1mSimulation PosixPath('/home/ramprakash/Integrated_Tests/test_outputs/fitted_dc_2.996.npz') already exists[0m
[32m2025-12-07 03:50:47.319[0m | [1mINFO [0m | [36mgplugins.gmeep.write_sparameters_meep_mpi[0m:[36mwrite_sparameters_meep_mpi[0m:[36m148[0m - [1mSimulation PosixPath('/home/ramprakash/Integrated_Tests/test_outputs/fitted_dc_0.115.npz') already exists[0m
[32m2025-12-07 03:50:47.321[0m | [1mINFO [0m | [36mgplugins.gmeep.write_sparameters_meep_mpi[0m:[36mwrite_sparameters_meep_mpi[0m:[36m148[0m - [1mSimulation PosixPath('/home/ramprakash/Integrated_Tests/test_outputs/fitted_dc_0.02.npz') already exists[0m
[32m2025-12-07 03:50:47.322[0m | [1mINFO [0m | [36mgplugins.gmeep.write_sparameters_meep_mpi[0m:[36mwrite_sparameters_meep_mpi[0m:[36m148[0m - [1mSimulation PosixPath('/home/ramprakash/Integrated_Tests/test_outputs/fitted_dc_2.996.npz') already exists[0m
[32m2025-12-07 03:50:47.324[0m | [1mINFO [0m | [36mgplugins.gmeep.write_sparameters_meep_mpi[0m:[36mwrite_sparameters_meep_mpi[0m:[36m148[0m - [1mSimulation PosixPath('/home/ramprakash/Integrated_Tests/test_outputs/fitted_dc_1.189.npz') already exists[0m
1
Available ports: [('o1', 'o1'), ('o1', 'o2'), ('o1', 'o4'), ('o1', 'o3'), ('o2', 'o1'), ('o2', 'o2'), ('o2', 'o4'), ('o2', 'o3'), ('o4', 'o1'), ('o4', 'o2'), ('o4', 'o4'), ('o4', 'o3'), ('o3', 'o1'), ('o3', 'o2'), ('o3', 'o4'), ('o3', 'o3')]
The inbulid mzi_lattice component does not allow neagtive delta length
SO have to build it from scratch using basic mzi component.
Cascade MZI WDM
Source Code
1
2
3
4
5
6
7
8
9
10
11
12
13
14
15
16
17
18
19
20
21
22
23
24
25
26
27
28
29
30
31
32
33
34
35
36
37
38
39
40
41
42
43
44
45
46
47
48
49
50
51
52
53
54
55
56
57
58
59
60
61
62
63
64
65
66
67
68
69
70
71
72
73
74
75
76
77
78
79
80
81
82
83
84
85
86
87
88
89
90
91
92
93
94
95
96
97
98
99
100
101
102
103
104
105
106
107
108
109
110
111
112
113
114
115
116
117
118
119
120
121
122
123
124
125
126
127
128
129
130
131
132
133
134
135
136
137
138
139
140
141
142
143
144
145
146
147
148
149
import gdsfactory as gf
from gdsfactory.typings import ComponentSpec
import numpy as np
# @gf.cell(cache=False)
def cascade_mzi_wdm(
num_stages: int = 4,
delta_lengths: tuple = (14.3, 28.6, 28.6, 14.3), # Your MZI deltas
coupler_lengths: tuple = (2.976, 16.484, 16.59, 2.976, 1.178), # 5 couplers
gap: float = 0.15,
length_x: float = 0.1,
length_y: float = 2.0,
cross_section: str = 'strip',
) -> gf.Component:
"""
Create a cascade of MZIs with custom coupler lengths
Args:
num_stages: Number of MZI stages (default 4)
delta_lengths: Tuple of delta lengths for each MZI
coupler_lengths: Tuple of coupler lengths (need num_stages + 1)
gap: Coupler gap
length_y: Vertical length of MZI arms
cross_section: Waveguide cross-section
spacing: Spacing between MZI blocks
Returns:
Component with cascaded MZIs
"""
c = gf.Component()
# Validate inputs
if len(delta_lengths) != num_stages:
raise ValueError(f"Need {num_stages} delta lengths, got {len(delta_lengths)}")
if len(coupler_lengths) != num_stages + 1:
raise ValueError(f"Need {num_stages + 1} coupler lengths, got {len(coupler_lengths)}")
print(f"Building {num_stages}-stage MZI cascade")
print(f"Delta lengths: {delta_lengths}")
print(f"Coupler lengths: {coupler_lengths}")
mzi_refs = []
for i in range(num_stages):
# Create couplers for this MZI
splitter_coupler = gf.components.coupler(
gap=gap,
length=coupler_lengths[i],
cross_section=cross_section,
)
combiner_coupler = gf.components.coupler(
gap=gap,
length=coupler_lengths[i + 1],
cross_section=cross_section,
)
# Create MZI with these specific couplers
mzi = gf.components.mzi2x2_2x2_phase_shifter(
delta_length=np.abs(delta_lengths[i]),
length_x=length_x,
length_y=length_y,
splitter=splitter_coupler,
combiner=combiner_coupler,
straight_x_top=None,
with_splitter=(i == 0), # Only first MZI has input splitter
cross_section=cross_section,
)
# Add reference to component
# ref = c << mzi
if delta_lengths[i]<0:
# Work on the component
mzi = mzi.copy()
mzi = mzi.mirror_y()
# Save ports correctly
ports_temp = {
'o1': mzi.ports['o1'],
'o2': mzi.ports['o2'],
'o3': mzi.ports['o3'],
'o4': mzi.ports['o4'],
}
mzi.ports.clear()
# Add swapped ports
mzi.add_port('o1', port=ports_temp['o2'])
mzi.add_port('o2', port=ports_temp['o1'])
mzi.add_port('o3', port=ports_temp['o4'])
mzi.add_port('o4', port=ports_temp['o3'])
# NOW add it as reference
ref = c << mzi # ✓ Component already has correct ports
# Position MZI
if i == 0:
ref.x = 0
ref.y = 0
else:
# Connect to previous MZI
prev_ref = mzi_refs[i - 1]
ref.xmin = prev_ref.xmax
ref.y = prev_ref.y
ref.connect("o1", prev_ref.ports["o4"], allow_layer_mismatch=True)
ref.connect("o2", prev_ref.ports["o3"], allow_layer_mismatch=True)
mzi_refs.append(ref)
# Add external ports
c.add_port('o1', port=mzi_refs[0].ports['o1'])
c.add_port('o2', port=mzi_refs[0].ports['o2'])
c.add_port('o3', port=mzi_refs[-1].ports['o3'])
c.add_port('o4', port=mzi_refs[-1].ports['o4'])
return c
# parameters
# lda_c = 1.55
# ng = 4.2
# ne = 2.4
# gap = 0.15
# # Calculate deltas
# fsr = 5e-3
# ΔL = lda_c**2 / (fsr * ng)
# # Use symmetric pattern (all positive!)
# delta_lengths_stage1 = (ΔL, 2*ΔL, -2*ΔL, -ΔL)
# # Your optimized coupler lengths
# # coupler_lengths_stage1 = (2.976, 16.484, 16.59, 2.976, 1.178)
# coupler_lengths_stage1 = (2.996, 0.115, 0.02, 2.996, 1.189)
# # Build Stage 1 Block 1
# stage1_block1 = cascade_mzi_wdm(
# num_stages=4,
# delta_lengths=delta_lengths_stage1,
# coupler_lengths=coupler_lengths_stage1,
# gap=gap,
# length_y=1.0,
# length_x=0.5,
# cross_section='strip',
# )
# stage1_block1.draw_ports()
# stage1_block1.plot()
# stage1_block1.show()
Source Code
1
2
3
4
5
6
7
8
9
10
11
12
13
14
15
16
17
18
19
20
21
22
23
24
25
26
27
28
29
30
31
32
33
34
35
36
37
38
39
40
41
42
43
44
45
46
47
48
49
50
51
52
53
54
55
56
57
58
59
60
61
62
63
64
65
66
67
68
69
70
71
72
73
74
75
76
77
78
79
80
81
82
83
84
85
86
87
88
89
90
91
92
93
94
95
96
97
98
99
100
101
102
103
104
105
106
107
108
import inspect
import sax
import jax.numpy as jnp
import matplotlib.pyplot as plt
mzi_d = tuple(-x for x in mzi_deltas)
delta_lengths_stage1 = (ΔL, 2*ΔL, 2*ΔL, ΔL)
gap = 0.15
lengths = [2.996, 0.115, 0.02, 2.996, 1.189]
layout = cascade_mzi_wdm(
num_stages=4,
delta_lengths=tuple((mzi_deltas[:4])),
coupler_lengths=tuple(lengths[:5]),
gap=gap,
length_y=10.0,
length_x=10.0,
cross_section='strip',
).copy()
layout.plot()
# Your patch function
def patch_netlist(netlist, models, models_to_patch):
"""Patch a single netlist with custom models"""
if "instances" not in netlist:
return netlist, models
instances = netlist["instances"]
for name in instances:
model = instances[name]
component_type = model["component"]
if component_type in models_to_patch:
# Create unique model name
i = 0
new_component = f"{component_type}_v{i}"
while new_component in models:
i += 1
new_component = f"{component_type}_v{i}"
settings = model.get("settings", {})
settings_filtered = {
k: v
for k, v in settings.items()
if k in inspect.signature(models_to_patch[component_type]).parameters
}
models[new_component] = models_to_patch[component_type](**settings_filtered)
if "settings" in model:
del model["settings"]
model["component"] = new_component
return netlist, models
# Get recursive netlist (includes all sub-components)
recursive_netlist = layout.get_netlist(recursive=True)
# Initialize base models
models = {
"straight": straight_model,
"bend_euler": straight_model,#bend_model(cross_section='strip', wavelengths=wavelengths),
}
# Patch couplers in ALL netlists
for component_name in recursive_netlist:
recursive_netlist[component_name], models = patch_netlist(
netlist=recursive_netlist[component_name],
models=models,
models_to_patch={"coupler": coupler_model}
)
# Build models for all sub-components (bottom-up) - FIX: only take circuit, not tuple
component_order = [name for name in recursive_netlist if name != layout.name]
for component_name in component_order:
if component_name not in models:
try:
# FIX: sax.circuit returns (circuit, info), we only need circuit
sub_circuit, _ = sax.circuit(
netlist=recursive_netlist[component_name],
models=models
)
models[component_name] = sub_circuit # Store only the circuit function
except Exception as e:
print(f"Could not build model for {component_name}: {e}")
# Finally build the top-level circuit
circuit, info = sax.circuit(
netlist=recursive_netlist[layout.name],
models=models
)
# Simulate
fig, ax = plt.subplots(1, 1, figsize=(12, 4))
lda = np.linspace(1.5, 1.6, 501)
s = circuit(wl=lda)
# Plot results
ax.plot(lda, 20 * jnp.log10(jnp.abs(s[("o1", "o3")])), label="in1→out1")
ax.plot(lda, 20 * jnp.log10(jnp.abs(s[("o1", "o4")])), '--',label="in1→out2", )
# ax.set_ylim(-5, 0)
ax.set_xlabel("λ (µm)")
ax.set_ylabel("Transmission (dB)")
ax.legend()
ax.grid(True, alpha=0.3)
plt.tight_layout()
plt.show()
print("Available ports:", list(s.keys()))
1
2
3
4
5
6
7
8
9
10
11
12
13
14
Building 4-stage MZI cascade
Delta lengths: (np.float64(14.099718968513637), np.float64(28.199437937027273), np.float64(-28.519559413624087), np.float64(-28.199437937027273))
Coupler lengths: (2.996, 0.115, 0.02, 2.996, 1.189)
[32m2025-12-07 04:29:32.034[0m | [1mINFO [0m | [36mgplugins.gmeep.write_sparameters_meep_mpi[0m:[36mwrite_sparameters_meep_mpi[0m:[36m148[0m - [1mSimulation PosixPath('/home/ramprakash/Integrated_Tests/test_outputs/fitted_dc_2.996.npz') already exists[0m
[32m2025-12-07 04:29:32.036[0m | [1mINFO [0m | [36mgplugins.gmeep.write_sparameters_meep_mpi[0m:[36mwrite_sparameters_meep_mpi[0m:[36m148[0m - [1mSimulation PosixPath('/home/ramprakash/Integrated_Tests/test_outputs/fitted_dc_0.115.npz') already exists[0m
[32m2025-12-07 04:29:32.037[0m | [1mINFO [0m | [36mgplugins.gmeep.write_sparameters_meep_mpi[0m:[36mwrite_sparameters_meep_mpi[0m:[36m148[0m - [1mSimulation PosixPath('/home/ramprakash/Integrated_Tests/test_outputs/fitted_dc_0.02.npz') already exists[0m
[32m2025-12-07 04:29:32.039[0m | [1mINFO [0m | [36mgplugins.gmeep.write_sparameters_meep_mpi[0m:[36mwrite_sparameters_meep_mpi[0m:[36m148[0m - [1mSimulation PosixPath('/home/ramprakash/Integrated_Tests/test_outputs/fitted_dc_2.996.npz') already exists[0m
[32m2025-12-07 04:29:32.041[0m | [1mINFO [0m | [36mgplugins.gmeep.write_sparameters_meep_mpi[0m:[36mwrite_sparameters_meep_mpi[0m:[36m148[0m - [1mSimulation PosixPath('/home/ramprakash/Integrated_Tests/test_outputs/fitted_dc_1.189.npz') already exists[0m
/home/ramprakash/anaconda3/envs/si_photo/lib/python3.13/site-packages/gdsfactory/get_netlist.py:707: UserWarning: Component mzi_gdsfactorypcomponentspmzispmzi_DL28p519559413624087_38722597$3 has no function_name. Using component.name instead.
netlist = get_netlist_func(component, **kwargs)
/home/ramprakash/anaconda3/envs/si_photo/lib/python3.13/site-packages/gdsfactory/get_netlist.py:707: UserWarning: Component mzi_gdsfactorypcomponentspmzispmzi_DL28p199437937027273_3f81c9d4$3 has no function_name. Using component.name instead.
netlist = get_netlist_func(component, **kwargs)
1
Available ports: [('o1', 'o1'), ('o1', 'o2'), ('o1', 'o3'), ('o1', 'o4'), ('o2', 'o1'), ('o2', 'o2'), ('o2', 'o3'), ('o2', 'o4'), ('o3', 'o1'), ('o3', 'o2'), ('o3', 'o3'), ('o3', 'o4'), ('o4', 'o1'), ('o4', 'o2'), ('o4', 'o3'), ('o4', 'o4')]
Stage 1 Suppression of parasitic modes
Source Code
1
2
3
4
5
6
7
8
9
10
11
12
13
14
15
16
17
18
19
20
21
22
23
24
25
26
27
28
29
30
31
32
33
34
35
36
37
38
39
40
41
42
43
44
45
46
47
48
49
50
51
52
53
54
55
56
57
58
59
60
61
62
63
64
65
66
67
68
69
70
71
72
73
74
75
76
77
78
79
80
81
82
83
84
85
86
87
88
89
90
91
92
93
94
95
96
97
98
99
100
101
102
103
104
105
106
107
108
109
110
111
112
113
114
115
116
117
118
119
120
121
122
123
124
125
126
127
128
129
130
131
132
133
134
135
136
137
138
139
140
141
142
143
144
145
146
147
148
149
150
151
152
153
154
155
156
157
158
159
160
161
162
163
164
165
166
167
168
169
170
171
172
173
174
175
176
177
178
179
180
181
182
183
184
185
186
187
188
189
190
191
192
193
194
195
196
197
198
199
def build_stage1_cwdm(
lda_c=1.55,
ng=4.2,
ne=2.4,
gap=0.15,
coupler_lengths_s1=None, # For Stage 1
coupler_lengths_s2=None, # For Stage 2 (might be different)
add_terminators=False,
add_labels=True
):
"""
Build complete 6-block CWDM demux
Args:
coupler_lengths_s1: List of 5 coupler lengths for Stage 1 blocks
coupler_lengths_s2: List of 5 coupler lengths for Stage 2 blocks
"""
if coupler_lengths_s1 is None:
coupler_lengths_s1 = [2.976, 16.484, 16.59, 2.976, 1.178]
if coupler_lengths_s2 is None:
# If not specified, use same as Stage 1
# But in reality, these might need optimization for FSR=80nm
coupler_lengths_s2 = coupler_lengths_s1
c = gf.Component()
# Calculate MZI deltas
fsr_s1 = 40e-3 # µm
fsr_s2 = 80e-3 # µm
ΔL_s1 = lda_c**2 / (fsr_s1 * ng)
ΔL_s2 = lda_c**2 / (fsr_s2 * ng)
Lπ = lda_c / (2 * ne)
mzi_deltas_s1 = [
ΔL_s1,
2 * ΔL_s1,
-Lπ - 2 * ΔL_s1,
-2 * ΔL_s1,
]
mzi_deltas_s2_high = [
ΔL_s2,
2 * ΔL_s2,
- Lπ - 2 * ΔL_s2,
-2 * ΔL_s2,
]
mzi_deltas_s2_low = [
ΔL_s2,
2 * ΔL_s2,
- Lπ/2 - 2 * ΔL_s2, # π/2 shift
-2 * ΔL_s2,
]
print(f"\nBuilding device with:")
print(f" Stage 1 coupler lengths: {coupler_lengths_s1}")
print(f" Stage 2 coupler lengths: {coupler_lengths_s2}")
# ============================================================
# STAGE 1 - BLOCK 1 (Interleaver)
# ============================================================
# NOTE: mzi_lattice expects coupler_lengths with 4 elements, not 5!
# The 5th coupler is the OUTPUT combiner, handled separately
# So we only pass the first 4 coupler lengths
s1_b1 = cascade_mzi_wdm(
num_stages=4,
delta_lengths=tuple((mzi_deltas_s1)),
coupler_lengths=tuple(coupler_lengths_s1),
gap=gap,
length_y=10.0,
length_x=10.0,
cross_section='strip',
)
s1_b1_ref = c << s1_b1
s1_b1_ref.x = 0
s1_b1_ref.y = 0
print('xmax_s1 =', s1_b1_ref.xmax)
if add_labels:
label1 = c.add_label(
text="Stage 1\nBlock 1\nInterleaver\nFSR=40nm",
position=(s1_b1_ref.x + s1_b1_ref.xsize/2, s1_b1_ref.ymax + 20),
layer=(10, 0) # Text layer
)
# ============================================================
# STAGE 1 - BLOCK 21 (Suppression)
# ============================================================
s1_b21 = cascade_mzi_wdm(
num_stages=4,
delta_lengths=tuple((mzi_deltas_s1)),
coupler_lengths=tuple(coupler_lengths_s1),
gap=gap,
length_y=10.0,
length_x=10.0,
cross_section='strip',
)
s1_b21_ref = c << s1_b21
s1_b21_ref.xmin = s1_b1_ref.xmax + 10
s1_b21_ref.ymin = s1_b1_ref.ymax + 5
print('xmax_s2 =', s1_b21_ref.xmax)
# Connect with routing
B1r1 = gf.routing.route_single(
c, s1_b1_ref.ports['o3'], s1_b21_ref.ports['o1'], cross_section='strip'
)
if add_labels:
label2 = c.add_label(
text="Stage 1\nBlock 2A\nSuppression\nFSR=40nm",
position=(s1_b21_ref.x + s1_b21_ref.xsize/2, s1_b21_ref.ymax + 20),
layer=(10, 0)
)
# =========================================================
# STAGE 2 - BLOCK 22
# =========================================================
s1_b22 = cascade_mzi_wdm(
num_stages=4,
delta_lengths=tuple((mzi_deltas_s1)),
coupler_lengths=tuple(coupler_lengths_s1),
gap=gap,
length_y=10.0,
length_x=10.0,
cross_section='strip',
)
s1_b22_ref = c << s1_b22
s1_b22_ref.xmin = s1_b1_ref.xmax + 10
s1_b22_ref.ymax = s1_b1_ref.ymin - 5
# print('xmax_s2 =', s1_b21_ref.xmax)
# Connect with routing
B1r2 = gf.routing.route_single(
c, s1_b1_ref.ports['o4'], s1_b22_ref.ports['o2'], cross_section='strip'
)
if add_labels:
label3 = c.add_label(
text="Stage 1\nBlock 2B\nSuppression\nFSR=40nm",
position=(s1_b22_ref.x + s1_b22_ref.xsize/2, s1_b22_ref.ymin - 20),
layer=(10, 0)
)
c.add_port('in1', port=s1_b1_ref.ports['o1'])
c.add_port('in2', port=s1_b1_ref.ports['o2'])
c.add_port('out_top1', port=s1_b21_ref['o3'])
c.add_port('out_top2', port=s1_b21_ref['o4'])
c.add_port('out_bot1', port=s1_b22_ref['o3'])
c.add_port('out_bot2', port=s1_b22_ref['o4'])
if add_terminators:
print("\nAdding terminators to unused ports...")
# Create a set of all ports that are used (connected or named)
used_ports = set()
# # Add all named ports to used set
# for port_name in c.ports.keys():
# used_ports.add(id(c.ports[port_name]))
# Manually specify which ports to terminate based on your architecture
# This is more reliable than trying to detect automatically
ports_to_terminate = [
s1_b21_ref.ports['o2'],
# s1_b21_ref.ports['o3'],
# s1_b22_ref.ports['o3'],
s1_b22_ref.ports['o1'], # This one is connected via route
]
print(f"Adding {len(ports_to_terminate)} terminators")
# Add terminator to each port
for i, port in enumerate(ports_to_terminate):
# Simple taper terminator
terminator = gf.components.taper(
length=50,
width1=0.5,
width2=0.1,
cross_section='strip',
)
term_ref = c << terminator
term_ref.connect('o1', port)
print(f"Terminators added successfully")
print(f"\nDevice complete: {c.xsize:.1f} × {c.ysize:.1f} µm²")
return c
layout = build_stage1_cwdm(
lda_c=1.55,
ng=4.2,
ne=2.4,
gap=0.15,
coupler_lengths_s1=lengths,
coupler_lengths_s2=lengths, # Might need optimization
add_terminators=True,
)
layout.draw_ports()
layout.plot()
layout.show()
1
2
3
4
5
6
7
8
9
10
11
12
13
14
15
16
17
18
19
20
21
Building device with:
Stage 1 coupler lengths: [2.996, 0.115, 0.02, 2.996, 1.189]
Stage 2 coupler lengths: [2.996, 0.115, 0.02, 2.996, 1.189]
Building 4-stage MZI cascade
Delta lengths: (14.300595238095239, 28.601190476190478, -28.924107142857146, -28.601190476190478)
Coupler lengths: (2.996, 0.115, 0.02, 2.996, 1.189)
xmax_s1 = 153.65800000000002
Building 4-stage MZI cascade
Delta lengths: (14.300595238095239, 28.601190476190478, -28.924107142857146, -28.601190476190478)
Coupler lengths: (2.996, 0.115, 0.02, 2.996, 1.189)
xmax_s2 = 470.974
Building 4-stage MZI cascade
Delta lengths: (14.300595238095239, 28.601190476190478, -28.924107142857146, -28.601190476190478)
Coupler lengths: (2.996, 0.115, 0.02, 2.996, 1.189)
Adding terminators to unused ports...
Adding 2 terminators
Terminators added successfully
Device complete: 624.6 × 329.8 µm²
[32m2025-12-07 04:36:15.302[0m | [1mINFO [0m | [36mkfactory.kcell[0m:[36mshow[0m:[36m4059[0m - [1mklive v0.4.1: Reloaded file '/home/ramprakash/Integrated_Tests/build/oas/3289426469.oas'[0m
Source Code
1
2
3
4
5
6
7
8
9
10
11
12
13
14
15
16
17
18
19
20
21
22
23
24
25
26
27
28
29
30
31
32
33
34
35
36
37
38
39
40
41
42
43
44
45
46
47
48
49
50
51
52
53
54
55
56
57
58
59
60
61
62
63
64
65
66
67
68
69
70
71
72
73
74
75
76
77
78
79
80
81
82
83
84
85
86
87
88
89
90
91
92
93
94
95
96
97
98
99
100
101
102
103
104
105
106
107
108
109
110
111
112
113
114
115
116
117
118
119
120
121
122
123
124
125
126
127
128
129
130
131
132
133
134
135
136
137
138
139
140
141
142
143
144
145
146
147
148
149
150
151
152
153
154
155
156
157
158
159
160
161
162
163
164
165
def patch_netlist(netlist, models, models_to_patch):
"""Patch a single netlist with custom models"""
if "instances" not in netlist:
return netlist, models
instances = netlist["instances"]
for name in instances:
model = instances[name]
component_type = model["component"]
if component_type in models_to_patch:
i = 0
new_component = f"{component_type}_v{i}"
while new_component in models:
i += 1
new_component = f"{component_type}_v{i}"
settings = model.get("settings", {})
settings_filtered = {
k: v
for k, v in settings.items()
if k in inspect.signature(models_to_patch[component_type]).parameters
}
models[new_component] = models_to_patch[component_type](**settings_filtered)
if "settings" in model:
del model["settings"]
model["component"] = new_component
return netlist, models
# Get recursive netlist
print("Getting recursive netlist...")
recursive_netlist = layout.get_netlist(recursive=True)
print(f"Found {len(recursive_netlist)} components in hierarchy")
# Initialize base models
models = {
"straight": straight_model,
"bend_euler": straight_model,
"taper": terminator_model,
}
# Step 1: Patch couplers in ALL netlists first
print("\nStep 1: Patching all couplers...")
for component_name in recursive_netlist:
recursive_netlist[component_name], models = patch_netlist(
netlist=recursive_netlist[component_name],
models=models,
models_to_patch={"coupler": coupler_model}
)
# Step 2: Build models in correct dependency order
# We need to sort components by dependency depth
print("\nStep 2: Building component models in dependency order...")
def get_dependencies(comp_name, netlist_dict):
"""Get list of component types this component depends on"""
if comp_name not in netlist_dict:
return set()
netlist = netlist_dict[comp_name]
deps = set()
for inst_name, inst_data in netlist.get('instances', {}).items():
comp_type = inst_data.get('component', '')
if comp_type and comp_type in netlist_dict: # Only internal dependencies
deps.add(comp_type)
return deps
# Build dependency graph and sort
component_order = []
components_to_build = set(recursive_netlist.keys()) - {layout.name}
built_components = set(models.keys())
max_iterations = 100
iteration = 0
while components_to_build and iteration < max_iterations:
iteration += 1
made_progress = False
for comp_name in list(components_to_build):
# Get dependencies
deps = get_dependencies(comp_name, recursive_netlist)
# Check if all dependencies are built
if deps.issubset(built_components):
# All dependencies satisfied - build this component
try:
sub_circuit, _ = sax.circuit(
netlist=recursive_netlist[comp_name],
models=models
)
models[comp_name] = sub_circuit
component_order.append(comp_name)
built_components.add(comp_name)
components_to_build.remove(comp_name)
made_progress = True
# print(f" ✓ Built: {comp_name[:60]}...")
except Exception as e:
print(f" ✗ Failed to build {comp_name[:60]}: {str(e)[:100]}")
# Don't remove from components_to_build yet
if not made_progress:
print(f"\n Warning: Could not make progress in iteration {iteration}")
print(f" Remaining components: {len(components_to_build)}")
for comp in list(components_to_build)[:5]:
deps = get_dependencies(comp, recursive_netlist)
missing = deps - built_components
print(f" - {comp[:50]}")
print(f" Missing deps: {list(missing)[:3]}")
break
print(f"\nBuilt {len(component_order)} components successfully")
print(f"Remaining: {len(components_to_build)}")
# Step 3: Build top-level circuit
print("\nStep 3: Building top-level circuit...")
try:
circuit, info = sax.circuit(
netlist=recursive_netlist[layout.name],
models=models
)
print("✓ Top-level circuit built successfully!")
except Exception as e:
print(f"✗ Failed to build top-level circuit:")
print(f" Error: {e}")
# Debug output
top_deps = get_dependencies(layout.name, recursive_netlist)
missing = top_deps - set(models.keys())
if missing:
print(f"\n Missing models for top-level:")
for m in list(missing)[:5]:
print(f" - {m}")
raise
# Simulate
print("\nSimulating...")
lda = np.linspace(1.50, 1.60, 201)
s = circuit(wl=lda)
print(f"\nAvailable ports: {list(s.keys())}")
# Plot results
plt.figure(figsize=(12, 4))
plt.plot(lda, 20 * jnp.log10(jnp.abs(s[("in1", "out_top1")])), label="in1→out_top1")
plt.plot(lda, 20 * jnp.log10(jnp.abs(s[("in1", "out_bot1")])), '--', label="in1→out_bot1")
plt.ylabel("Transmission (dB)")
plt.legend()
plt.grid(True, alpha=0.3)
# plt.ylim(-60, 5)
plt.tight_layout()
plt.show()
print("\n✓ Simulation complete!")
1
2
3
4
5
6
7
8
9
10
11
12
13
14
15
16
17
18
19
20
21
22
23
24
25
26
27
28
29
30
31
32
33
34
35
36
37
38
39
40
41
42
43
44
45
46
47
Getting recursive netlist...
Found 12 components in hierarchy
Step 1: Patching all couplers...
[32m2025-12-07 05:37:56.976[0m | [1mINFO [0m | [36mgplugins.gmeep.write_sparameters_meep_mpi[0m:[36mwrite_sparameters_meep_mpi[0m:[36m148[0m - [1mSimulation PosixPath('/home/ramprakash/Integrated_Tests/test_outputs/fitted_dc_2.996.npz') already exists[0m
[32m2025-12-07 05:37:56.977[0m | [1mINFO [0m | [36mgplugins.gmeep.write_sparameters_meep_mpi[0m:[36mwrite_sparameters_meep_mpi[0m:[36m148[0m - [1mSimulation PosixPath('/home/ramprakash/Integrated_Tests/test_outputs/fitted_dc_0.115.npz') already exists[0m
[32m2025-12-07 05:37:56.979[0m | [1mINFO [0m | [36mgplugins.gmeep.write_sparameters_meep_mpi[0m:[36mwrite_sparameters_meep_mpi[0m:[36m148[0m - [1mSimulation PosixPath('/home/ramprakash/Integrated_Tests/test_outputs/fitted_dc_0.02.npz') already exists[0m
[32m2025-12-07 05:37:56.980[0m | [1mINFO [0m | [36mgplugins.gmeep.write_sparameters_meep_mpi[0m:[36mwrite_sparameters_meep_mpi[0m:[36m148[0m - [1mSimulation PosixPath('/home/ramprakash/Integrated_Tests/test_outputs/fitted_dc_2.996.npz') already exists[0m
[32m2025-12-07 05:37:56.982[0m | [1mINFO [0m | [36mgplugins.gmeep.write_sparameters_meep_mpi[0m:[36mwrite_sparameters_meep_mpi[0m:[36m148[0m - [1mSimulation PosixPath('/home/ramprakash/Integrated_Tests/test_outputs/fitted_dc_1.189.npz') already exists[0m
Step 2: Building component models in dependency order...
[32m2025-12-07 05:37:56.984[0m | [1mINFO [0m | [36mgplugins.gmeep.write_sparameters_meep_mpi[0m:[36mwrite_sparameters_meep_mpi[0m:[36m148[0m - [1mSimulation PosixPath('/home/ramprakash/Integrated_Tests/test_outputs/fitted_dc_2.996.npz') already exists[0m
[32m2025-12-07 05:37:56.985[0m | [1mINFO [0m | [36mgplugins.gmeep.write_sparameters_meep_mpi[0m:[36mwrite_sparameters_meep_mpi[0m:[36m148[0m - [1mSimulation PosixPath('/home/ramprakash/Integrated_Tests/test_outputs/fitted_dc_1.189.npz') already exists[0m
[32m2025-12-07 05:37:56.987[0m | [1mINFO [0m | [36mgplugins.gmeep.write_sparameters_meep_mpi[0m:[36mwrite_sparameters_meep_mpi[0m:[36m148[0m - [1mSimulation PosixPath('/home/ramprakash/Integrated_Tests/test_outputs/fitted_dc_2.996.npz') already exists[0m
[32m2025-12-07 05:37:56.989[0m | [1mINFO [0m | [36mgplugins.gmeep.write_sparameters_meep_mpi[0m:[36mwrite_sparameters_meep_mpi[0m:[36m148[0m - [1mSimulation PosixPath('/home/ramprakash/Integrated_Tests/test_outputs/fitted_dc_1.189.npz') already exists[0m
/home/ramprakash/anaconda3/envs/si_photo/lib/python3.13/site-packages/gdsfactory/get_netlist.py:707: UserWarning: Component Unnamed_245 has no function_name. Using component.name instead.
netlist = get_netlist_func(component, **kwargs)
/home/ramprakash/anaconda3/envs/si_photo/lib/python3.13/site-packages/gdsfactory/get_netlist.py:707: UserWarning: Component Unnamed_248 has no function_name. Using component.name instead.
netlist = get_netlist_func(component, **kwargs)
/home/ramprakash/anaconda3/envs/si_photo/lib/python3.13/site-packages/gdsfactory/get_netlist.py:707: UserWarning: Component Unnamed_251 has no function_name. Using component.name instead.
netlist = get_netlist_func(component, **kwargs)
/home/ramprakash/anaconda3/envs/si_photo/lib/python3.13/site-packages/gdsfactory/get_netlist.py:707: UserWarning: Component mzi_gdsfactorypcomponentspmzispmzi_DL28p924107142857146_5b8db658$4 has no function_name. Using component.name instead.
netlist = get_netlist_func(component, **kwargs)
/home/ramprakash/anaconda3/envs/si_photo/lib/python3.13/site-packages/gdsfactory/get_netlist.py:707: UserWarning: Component mzi_gdsfactorypcomponentspmzispmzi_DL28p601190476190478_9ce56a5b$4 has no function_name. Using component.name instead.
netlist = get_netlist_func(component, **kwargs)
/home/ramprakash/anaconda3/envs/si_photo/lib/python3.13/site-packages/gdsfactory/get_netlist.py:707: UserWarning: Component mzi_gdsfactorypcomponentspmzispmzi_DL28p924107142857146_5b8db658$5 has no function_name. Using component.name instead.
netlist = get_netlist_func(component, **kwargs)
/home/ramprakash/anaconda3/envs/si_photo/lib/python3.13/site-packages/gdsfactory/get_netlist.py:707: UserWarning: Component mzi_gdsfactorypcomponentspmzispmzi_DL28p601190476190478_9ce56a5b$5 has no function_name. Using component.name instead.
netlist = get_netlist_func(component, **kwargs)
/home/ramprakash/anaconda3/envs/si_photo/lib/python3.13/site-packages/gdsfactory/get_netlist.py:707: UserWarning: Component mzi_gdsfactorypcomponentspmzispmzi_DL28p924107142857146_5b8db658$6 has no function_name. Using component.name instead.
netlist = get_netlist_func(component, **kwargs)
/home/ramprakash/anaconda3/envs/si_photo/lib/python3.13/site-packages/gdsfactory/get_netlist.py:707: UserWarning: Component mzi_gdsfactorypcomponentspmzispmzi_DL28p601190476190478_9ce56a5b$6 has no function_name. Using component.name instead.
netlist = get_netlist_func(component, **kwargs)
Built 11 components successfully
Remaining: 0
Step 3: Building top-level circuit...
✓ Top-level circuit built successfully!
Simulating...
Available ports: [('in1', 'in1'), ('in1', 'in2'), ('in1', 'out_top1'), ('in1', 'out_top2'), ('in1', 'out_bot1'), ('in1', 'out_bot2'), ('in2', 'in1'), ('in2', 'in2'), ('in2', 'out_top1'), ('in2', 'out_top2'), ('in2', 'out_bot1'), ('in2', 'out_bot2'), ('out_top1', 'in1'), ('out_top1', 'in2'), ('out_top1', 'out_top1'), ('out_top1', 'out_top2'), ('out_top1', 'out_bot1'), ('out_top1', 'out_bot2'), ('out_top2', 'in1'), ('out_top2', 'in2'), ('out_top2', 'out_top1'), ('out_top2', 'out_top2'), ('out_top2', 'out_bot1'), ('out_top2', 'out_bot2'), ('out_bot1', 'in1'), ('out_bot1', 'in2'), ('out_bot1', 'out_top1'), ('out_bot1', 'out_top2'), ('out_bot1', 'out_bot1'), ('out_bot1', 'out_bot2'), ('out_bot2', 'in1'), ('out_bot2', 'in2'), ('out_bot2', 'out_top1'), ('out_bot2', 'out_top2'), ('out_bot2', 'out_bot1'), ('out_bot2', 'out_bot2')]
1
✓ Simulation complete!
The Finall showdown - Full 4-channel CWDM circuit
FIXME: The even channels are not working - Cause to optimize the DC for these wavelengths
Source Code
1
2
3
4
5
6
7
8
9
10
11
12
13
14
15
16
17
18
19
20
21
22
23
24
25
26
27
28
29
30
31
32
33
34
35
36
37
38
39
40
41
42
43
44
45
46
47
48
49
50
51
52
53
54
55
56
57
58
59
60
61
62
63
64
65
66
67
68
69
70
71
72
73
74
75
76
77
78
79
80
81
82
83
84
85
86
87
88
89
90
91
92
93
94
95
96
97
98
99
100
101
102
103
104
105
106
107
108
109
110
111
112
113
114
115
116
117
118
119
120
121
122
123
124
125
126
127
128
129
130
131
132
133
134
135
136
137
138
139
140
141
142
143
144
145
146
147
148
149
150
151
152
153
154
155
156
157
158
159
160
161
162
163
164
165
166
167
168
169
170
171
172
173
174
175
176
177
178
179
180
181
182
183
184
185
186
187
188
189
190
191
192
193
194
195
196
197
198
199
200
201
202
203
204
205
206
207
208
209
210
211
212
213
214
215
216
217
218
219
220
221
222
223
224
225
226
227
228
229
230
231
232
233
234
235
236
237
238
239
240
241
242
243
244
245
246
247
248
249
250
251
252
253
254
255
256
257
258
259
260
261
262
263
264
265
266
267
268
269
270
271
272
273
274
275
276
277
278
279
280
281
282
283
284
285
286
287
288
289
290
291
292
293
294
295
296
297
298
299
300
301
302
303
304
305
306
307
308
309
310
311
312
313
314
315
316
317
318
319
320
321
322
323
324
325
326
327
328
329
330
331
332
333
334
335
336
337
338
339
340
341
342
343
344
345
346
347
348
349
350
351
352
353
354
355
356
357
358
359
360
361
362
# FIXME: The even channels are not working - Cause to optimize the DC for these wavelengths
def build_complete_cwdm_with_exact_couplers(
lda_c=1.55,
ng=4.2,
ne=2.4,
gap=0.15,
coupler_lengths_s1=None, # For Stage 1
coupler_lengths_s2=None, # For Stage 2 (might be different)
add_terminators=False,
add_labels=True
):
"""
Build complete 6-block CWDM demux
Args:
coupler_lengths_s1: List of 5 coupler lengths for Stage 1 blocks
coupler_lengths_s2: List of 5 coupler lengths for Stage 2 blocks
"""
if coupler_lengths_s1 is None:
coupler_lengths_s1 = [2.976, 16.484, 16.59, 2.976, 1.178]
if coupler_lengths_s2 is None:
# If not specified, use same as Stage 1
# But in reality, these might need optimization for FSR=80nm
coupler_lengths_s2 = coupler_lengths_s1
c = gf.Component()
# Calculate MZI deltas
fsr_s1 = 40e-3 # µm
fsr_s2 = 80e-3 # µm
ΔL_s1 = lda_c**2 / (fsr_s1 * ng)
ΔL_s2 = lda_c**2 / (fsr_s2 * ng)
Lπ = lda_c / (2 * ne)
mzi_deltas_s1 = [
ΔL_s1,
2 * ΔL_s1,
- Lπ - 2 * ΔL_s1,
-2 * ΔL_s1,
]
mzi_deltas_s2_high = [
ΔL_s2,
2 * ΔL_s2,
- Lπ - 2 * ΔL_s2,
-2 * ΔL_s2,
]
mzi_deltas_s2_low = [
ΔL_s2,
2 * ΔL_s2,
- Lπ/2 - 2 * ΔL_s2, # π/2 shift
-2 * ΔL_s2,
]
print(f"\nBuilding device with:")
print(f" Stage 1 coupler lengths: {coupler_lengths_s1}")
print(f" Stage 2 coupler lengths: {coupler_lengths_s2}")
# ============================================================
# STAGE 1 - BLOCK 1 (Interleaver)
# ============================================================
# NOTE: mzi_lattice expects coupler_lengths with 4 elements, not 5!
# The 5th coupler is the OUTPUT combiner, handled separately
# So we only pass the first 4 coupler lengths
s1_b1 = cascade_mzi_wdm(
num_stages=4,
delta_lengths=tuple((mzi_deltas_s1)),
coupler_lengths=tuple(coupler_lengths_s1),
gap=gap,
length_y=10.0,
length_x=10.0,
cross_section='strip',
)
s1_b1_ref = c << s1_b1
s1_b1_ref.x = 0
s1_b1_ref.y = 0
print('xmax_s1 =', s1_b1_ref.xmax)
if add_labels:
label1 = c.add_label(
text="Stage 1\nBlock 1\nInterleaver\nFSR=40nm",
position=(s1_b1_ref.x + s1_b1_ref.xsize/2, s1_b1_ref.ymax + 20),
layer=(10, 0) # Text layer
)
# ============================================================
# STAGE 1 - BLOCK 21 (Suppression)
# ============================================================
s1_b21 = cascade_mzi_wdm(
num_stages=4,
delta_lengths=tuple((mzi_deltas_s1)),
coupler_lengths=tuple(coupler_lengths_s1),
gap=gap,
length_y=10.0,
length_x=10.0,
cross_section='strip',
).mirror_y()
s1_b21_ref = c << s1_b21
s1_b21_ref.xmin = s1_b1_ref.xmax + 10
s1_b21_ref.ymin = s1_b1_ref.ymax + 5
print('xmax_s2 =', s1_b21_ref.xmax)
# Connect with routing
B1r1 = gf.routing.route_single(
c, s1_b1_ref.ports['o3'], s1_b21_ref.ports['o2'], cross_section='strip'
)
if add_labels:
label2 = c.add_label(
text="Stage 1\nBlock 2A\nSuppression\nFSR=40nm",
position=(s1_b21_ref.x + s1_b21_ref.xsize/2, s1_b21_ref.ymax + 20),
layer=(10, 0)
)
# =========================================================
# STAGE 1 - BLOCK 22
# =========================================================
s1_b22 = cascade_mzi_wdm(
num_stages=4,
delta_lengths=tuple((mzi_deltas_s1)),
coupler_lengths=tuple(coupler_lengths_s1),
gap=gap,
length_y=10.0,
length_x=10.0,
cross_section='strip',
)
s1_b22_ref = c << s1_b22
s1_b22_ref.xmin = s1_b1_ref.xmax + 10
s1_b22_ref.ymax = s1_b1_ref.ymin - 5
# print('xmax_s2 =', s1_b21_ref.xmax)
# Connect with routing
B1r2 = gf.routing.route_single(
c, s1_b1_ref.ports['o4'], s1_b22_ref.ports['o2'], cross_section='strip'
)
if add_labels:
label3 = c.add_label(
text="Stage 1\nBlock 2B\nSuppression\nFSR=40nm",
position=(s1_b22_ref.x + s1_b22_ref.xsize/2, s1_b22_ref.ymin - 20),
layer=(10, 0)
)
# ============================================================
# STAGE 2 even - BLOCK 3
# ============================================================
s2e_b3 = cascade_mzi_wdm(
num_stages=4,
delta_lengths=tuple((mzi_deltas_s2_high)),
coupler_lengths=tuple(coupler_lengths_s2),
gap=gap,
length_y=10.0,
length_x=10.0,
cross_section='strip',
)
s2e_b3_ref = c << s2e_b3
s2e_b3_ref.xmin = s1_b21_ref.xmax + 10
s2e_b3_ref.ymin = s1_b21_ref.ymax + 10
r3 = gf.routing.route_single(
c, s1_b21_ref.ports['o3'], s2e_b3_ref.ports['o1'], cross_section='strip'
)
if add_labels:
label4 = c.add_label(
text="Stage 2\nBlock 3\nEven-High\nFSR=80nm",
position=(s2e_b3_ref.x + s2e_b3_ref.xsize/2, s2e_b3_ref.ymax + 20),
layer=(10, 0)
)
# ============================================================
# STAGE 2 odd - BLOCK 4
# ============================================================
s2o_b4 = cascade_mzi_wdm(
num_stages=4,
delta_lengths=tuple((mzi_deltas_s2_low)),
coupler_lengths=tuple(coupler_lengths_s2),
gap=gap,
length_y=10.0,
length_x=10.0,
cross_section='strip',
)
s2o_b4_ref = c << s2o_b4
s2o_b4_ref.xmin = s1_b22_ref.xmax + 10
s2o_b4_ref.ymax = s1_b22_ref.ymin - 5
r4 = gf.routing.route_single(
c, s1_b22_ref.ports['o3'], s2o_b4_ref.ports['o1'], cross_section='strip'
)
if add_labels:
label5 = c.add_label(
text="Stage 2\nBlock 4\nOdd-Low\nFSR=80nm",
position=(s2o_b4_ref.x + s2o_b4_ref.xsize/2, s2o_b4_ref.ymin - 20),
layer=(10, 0)
)
# ============================================================
# STAGE 2 HIGH - BLOCKS 5 & 6
# ============================================================
s2h_b5 = cascade_mzi_wdm(
num_stages=4,
delta_lengths=tuple((mzi_deltas_s2_high)),
coupler_lengths=tuple(coupler_lengths_s2),
gap=gap,
length_y=10.0,
length_x=10.0,
cross_section='strip',
)
s2h_b5_ref = c << s2h_b5
s2h_b5_ref.xmin = s2e_b3_ref.xmax + 10
s2h_b5_ref.ymin = s2e_b3_ref.ymax + 60
r5 = gf.routing.route_single(
c, s2e_b3_ref.ports['o3'], s2h_b5_ref.ports['o1'], cross_section='strip'
)
if add_labels:
label6 = c.add_label(
text="Stage 2\nBlock 5\nCh4 Demux\nFSR=80nm",
position=(s2h_b5_ref.x + s2h_b5_ref.xsize/2, s2h_b5_ref.ymax + 20),
layer=(10, 0)
)
s2h_b6 = cascade_mzi_wdm(
num_stages=4,
delta_lengths=tuple((mzi_deltas_s2_high)),
coupler_lengths=tuple(coupler_lengths_s2),
gap=gap,
length_y=10.0,
length_x=10.0,
cross_section='strip',
)
s2h_b6_ref = c << s2h_b6
s2h_b6_ref.xmin = s2e_b3_ref.xmax + 10
s2h_b6_ref.ymax = s2e_b3_ref.ymin - 10
r6 = gf.routing.route_single(
c, s2e_b3_ref.ports['o4'], s2h_b6_ref.ports['o2'], cross_section='strip'
)
if add_labels:
label7 = c.add_label(
text="Stage 2\nBlock 6\nCh2 Demux\nFSR=80nm",
position=(s2h_b6_ref.x + s2h_b6_ref.xsize/2, s2h_b6_ref.ymin - 20),
layer=(10, 0)
)
# ============================================================
# STAGE 2 LOW - BLOCKS 7 & 8
# ============================================================
s2l_b7 = cascade_mzi_wdm(
num_stages=4,
delta_lengths=tuple((mzi_deltas_s2_high)),
coupler_lengths=tuple(coupler_lengths_s2),
gap=gap,
length_y=10.0,
length_x=10.0,
cross_section='strip',
)
s2l_b7_ref = c << s2l_b7
s2l_b7_ref.xmin = s2o_b4_ref.xmax + 10
s2l_b7_ref.ymin = s2o_b4_ref.ymax + 10
r7 = gf.routing.route_single(
c, s2o_b4_ref.ports['o3'], s2l_b7_ref.ports['o1'], cross_section='strip'
)
if add_labels:
label8 = c.add_label(
text="Stage 2\nBlock 7\nCh3 Demux\nFSR=80nm",
position=(s2l_b7_ref.x + s2l_b7_ref.xsize/2, s2l_b7_ref.ymax + 20),
layer=(10, 0)
)
s2l_b8 = cascade_mzi_wdm(
num_stages=4,
delta_lengths=tuple((mzi_deltas_s2_high)),
coupler_lengths=tuple(coupler_lengths_s2),
gap=gap,
length_y=10.0,
length_x=10.0,
cross_section='strip',
)
s2l_b8_ref = c << s2l_b8
s2l_b8_ref.xmin = s2o_b4_ref.xmax + 10
s2l_b8_ref.ymax = s2o_b4_ref.ymin - 60
r8 = gf.routing.route_single(
c, s2o_b4_ref.ports['o4'], s2l_b8_ref.ports['o2'], cross_section='strip'
)
if add_labels:
label9 = c.add_label(
text="Stage 2\nBlock 8\nCh1 Demux\nFSR=80nm",
position=(s2l_b8_ref.x + s2l_b8_ref.xsize/2, s2l_b8_ref.ymin - 20),
layer=(10, 0)
)
# Add ports
c.add_port('in1', port=s1_b1_ref.ports['o1'])
c.add_port('in2', port=s1_b1_ref.ports['o2'])
c.add_port('ch_1', port=s2l_b8_ref.ports['o3'])
c.add_port('ch_2', port=s2h_b6_ref.ports['o4'])
c.add_port('ch_3', port=s2l_b7_ref.ports['o3'])
c.add_port('ch_4', port=s2h_b5_ref.ports['o4'])
# ============================================================
# ADD TERMINATORS TO UNUSED PORTS
# ============================================================
if add_terminators:
print("\nAdding terminators to unused ports...")
# Create a set of all ports that are used (connected or named)
used_ports = set()
# # Add all named ports to used set
# for port_name in c.ports.keys():
# used_ports.add(id(c.ports[port_name]))
# Manually specify which ports to terminate based on your architecture
# This is more reliable than trying to detect automatically
ports_to_terminate = [
s1_b21_ref.ports['o2'],
s1_b21_ref.ports['o3'],
s1_b22_ref.ports['o3'],
s1_b22_ref.ports['o1'], # This one is connected via route
s2e_b3_ref.ports['o2'],
s2o_b4_ref.ports['o2'],
s2h_b5_ref.ports['o2'],
s2h_b5_ref.ports['o3'],
s2h_b6_ref.ports['o4'],
s2h_b6_ref.ports['o1'], # Connected
s2l_b7_ref.ports['o2'],
s2l_b7_ref.ports['o3'],
s2l_b8_ref.ports['o4'],
]
print(f"Adding {len(ports_to_terminate)} terminators")
# Add terminator to each port
for i, port in enumerate(ports_to_terminate):
# Simple taper terminator
terminator = gf.components.taper(
length=50,
width1=0.5,
width2=0.1,
cross_section='strip',
)
term_ref = c << terminator
term_ref.connect('o1', port)
print(f"Terminators added successfully")
print(f"\nDevice complete: {c.xsize:.1f} × {c.ysize:.1f} µm²")
return c
# Build device
layout = build_complete_cwdm_with_exact_couplers(
lda_c=1.55,
ng=4.2,
gap=0.15,
ne=2.4,
coupler_lengths_s1=lengths,
coupler_lengths_s2=lengths, # Might need optimization
add_terminators=False,
)
layout.draw_ports()
layout.plot()
layout.show()
1
2
3
4
5
6
7
8
9
10
11
12
13
14
15
16
17
18
19
20
21
22
23
24
25
26
27
28
29
30
31
32
33
34
35
Building device with:
Stage 1 coupler lengths: [2.996, 0.115, 0.02, 2.996, 1.189]
Stage 2 coupler lengths: [2.996, 0.115, 0.02, 2.996, 1.189]
Building 4-stage MZI cascade
Delta lengths: (14.300595238095239, 28.601190476190478, -28.924107142857146, -28.601190476190478)
Coupler lengths: (2.996, 0.115, 0.02, 2.996, 1.189)
xmax_s1 = 153.65800000000002
Building 4-stage MZI cascade
Delta lengths: (14.300595238095239, 28.601190476190478, -28.924107142857146, -28.601190476190478)
Coupler lengths: (2.996, 0.115, 0.02, 2.996, 1.189)
xmax_s2 = 470.974
Building 4-stage MZI cascade
Delta lengths: (14.300595238095239, 28.601190476190478, -28.924107142857146, -28.601190476190478)
Coupler lengths: (2.996, 0.115, 0.02, 2.996, 1.189)
Building 4-stage MZI cascade
Delta lengths: (7.1502976190476195, 14.300595238095239, -14.623511904761905, -14.300595238095239)
Coupler lengths: (2.996, 0.115, 0.02, 2.996, 1.189)
Building 4-stage MZI cascade
Delta lengths: (7.1502976190476195, 14.300595238095239, -14.462053571428573, -14.300595238095239)
Coupler lengths: (2.996, 0.115, 0.02, 2.996, 1.189)
Building 4-stage MZI cascade
Delta lengths: (7.1502976190476195, 14.300595238095239, -14.623511904761905, -14.300595238095239)
Coupler lengths: (2.996, 0.115, 0.02, 2.996, 1.189)
Building 4-stage MZI cascade
Delta lengths: (7.1502976190476195, 14.300595238095239, -14.623511904761905, -14.300595238095239)
Coupler lengths: (2.996, 0.115, 0.02, 2.996, 1.189)
Building 4-stage MZI cascade
Delta lengths: (7.1502976190476195, 14.300595238095239, -14.623511904761905, -14.300595238095239)
Coupler lengths: (2.996, 0.115, 0.02, 2.996, 1.189)
Building 4-stage MZI cascade
Delta lengths: (7.1502976190476195, 14.300595238095239, -14.623511904761905, -14.300595238095239)
Coupler lengths: (2.996, 0.115, 0.02, 2.996, 1.189)
Device complete: 1259.3 × 780.6 µm²
[32m2025-12-07 06:47:20.297[0m | [1mINFO [0m | [36mkfactory.kcell[0m:[36mshow[0m:[36m4043[0m - [1mklive v0.4.1: Opened file '/home/ramprakash/Integrated_Tests/build/oas/3367511686.oas'[0m
Source Code
1
2
3
4
5
6
7
8
9
10
11
12
13
14
15
16
17
18
19
20
21
22
23
24
25
26
27
28
29
30
31
32
33
34
35
36
37
38
39
40
41
42
43
44
45
46
47
48
49
50
51
52
53
54
55
56
57
58
59
60
61
62
63
64
65
66
67
68
69
70
71
72
73
74
75
76
77
78
79
80
81
82
83
84
85
86
87
88
89
90
91
92
93
94
95
96
97
98
99
100
101
102
103
104
105
106
107
108
109
110
111
112
113
114
115
116
117
118
119
120
121
122
123
124
125
126
127
128
129
130
131
132
133
134
135
136
137
138
139
140
141
142
143
144
145
146
147
148
149
150
151
152
153
154
155
156
157
158
159
160
161
162
163
164
165
166
167
168
169
# FIXME: The even channels are not working - Cause to optimize the DC for these wavelengths
def patch_netlist(netlist, models, models_to_patch):
"""Patch a single netlist with custom models"""
if "instances" not in netlist:
return netlist, models
instances = netlist["instances"]
for name in instances:
model = instances[name]
component_type = model["component"]
if component_type in models_to_patch:
i = 0
new_component = f"{component_type}_v{i}"
while new_component in models:
i += 1
new_component = f"{component_type}_v{i}"
settings = model.get("settings", {})
settings_filtered = {
k: v
for k, v in settings.items()
if k in inspect.signature(models_to_patch[component_type]).parameters
}
models[new_component] = models_to_patch[component_type](**settings_filtered)
if "settings" in model:
del model["settings"]
model["component"] = new_component
return netlist, models
# Get recursive netlist
print("Getting recursive netlist...")
recursive_netlist = layout.get_netlist(recursive=True)
print(f"Found {len(recursive_netlist)} components in hierarchy")
# Initialize base models
models = {
"straight": straight_model,
"bend_euler": straight_model,
"taper": terminator_model,
}
# Step 1: Patch couplers in ALL netlists first
print("\nStep 1: Patching all couplers...")
for component_name in recursive_netlist:
recursive_netlist[component_name], models = patch_netlist(
netlist=recursive_netlist[component_name],
models=models,
models_to_patch={"coupler": coupler_model}
)
# Step 2: Build models in correct dependency order
# We need to sort components by dependency depth
print("\nStep 2: Building component models in dependency order...")
def get_dependencies(comp_name, netlist_dict):
"""Get list of component types this component depends on"""
if comp_name not in netlist_dict:
return set()
netlist = netlist_dict[comp_name]
deps = set()
for inst_name, inst_data in netlist.get('instances', {}).items():
comp_type = inst_data.get('component', '')
if comp_type and comp_type in netlist_dict: # Only internal dependencies
deps.add(comp_type)
return deps
# Build dependency graph and sort
component_order = []
components_to_build = set(recursive_netlist.keys()) - {layout.name}
built_components = set(models.keys())
max_iterations = 100
iteration = 0
while components_to_build and iteration < max_iterations:
iteration += 1
made_progress = False
for comp_name in list(components_to_build):
# Get dependencies
deps = get_dependencies(comp_name, recursive_netlist)
# Check if all dependencies are built
if deps.issubset(built_components):
# All dependencies satisfied - build this component
try:
sub_circuit, _ = sax.circuit(
netlist=recursive_netlist[comp_name],
models=models
)
models[comp_name] = sub_circuit
component_order.append(comp_name)
built_components.add(comp_name)
components_to_build.remove(comp_name)
made_progress = True
# print(f" ✓ Built: {comp_name[:60]}...")
except Exception as e:
print(f" ✗ Failed to build {comp_name[:60]}: {str(e)[:100]}")
# Don't remove from components_to_build yet
if not made_progress:
print(f"\n Warning: Could not make progress in iteration {iteration}")
print(f" Remaining components: {len(components_to_build)}")
for comp in list(components_to_build)[:5]:
deps = get_dependencies(comp, recursive_netlist)
missing = deps - built_components
print(f" - {comp[:50]}")
print(f" Missing deps: {list(missing)[:3]}")
break
print(f"\nBuilt {len(component_order)} components successfully")
print(f"Remaining: {len(components_to_build)}")
# Step 3: Build top-level circuit
print("\nStep 3: Building top-level circuit...")
try:
circuit, info = sax.circuit(
netlist=recursive_netlist[layout.name],
models=models
)
print("✓ Top-level circuit built successfully!")
except Exception as e:
print(f"✗ Failed to build top-level circuit:")
print(f" Error: {e}")
# Debug output
top_deps = get_dependencies(layout.name, recursive_netlist)
missing = top_deps - set(models.keys())
if missing:
print(f"\n Missing models for top-level:")
for m in list(missing)[:5]:
print(f" - {m}")
raise
# Simulate
print("\nSimulating...")
lda = np.linspace(1.45, 1.65, 201)
s = circuit(wl=lda)
print(f"\nAvailable ports: {list(s.keys())}")
# Plot results
plt.figure(figsize=(12, 4))
plt.plot(lda, 20 * jnp.log10(jnp.abs(s[("in1", "ch_1")])), label="in1→ch1")
plt.plot(lda, 20 * jnp.log10(jnp.abs(s[("in1", "ch_2")])), '--', label="in1→ch2")
plt.plot(lda, 20 * jnp.log10(jnp.abs(s[("in1", "ch_3")])), '--', label="in1→ch3")
plt.plot(lda, 20 * jnp.log10(jnp.abs(s[("in1", "ch_4")])), '--', label="in1→ch4")
plt.ylabel("Transmission (dB)")
plt.legend()
plt.grid(True, alpha=0.3)
plt.ylim(-20, 5)
plt.tight_layout()
plt.show()
print("\n✓ Simulation complete!")
1
2
3
4
5
6
7
8
9
10
11
12
13
14
15
16
17
18
19
20
21
22
23
24
25
26
27
28
29
30
31
32
33
34
35
36
37
38
39
40
41
42
43
44
45
46
47
48
49
50
51
52
53
54
55
56
57
58
59
60
61
62
63
64
65
66
67
68
69
70
71
72
73
74
75
76
77
78
79
80
81
82
83
84
85
86
87
88
89
90
91
92
93
94
95
96
97
98
99
100
101
102
Getting recursive netlist...
/home/ramprakash/anaconda3/envs/si_photo/lib/python3.13/site-packages/gdsfactory/get_netlist.py:707: UserWarning: Component Unnamed_890 has no function_name. Using component.name instead.
netlist = get_netlist_func(component, **kwargs)
/home/ramprakash/anaconda3/envs/si_photo/lib/python3.13/site-packages/gdsfactory/get_netlist.py:707: UserWarning: Component Unnamed_893 has no function_name. Using component.name instead.
netlist = get_netlist_func(component, **kwargs)
/home/ramprakash/anaconda3/envs/si_photo/lib/python3.13/site-packages/gdsfactory/get_netlist.py:707: UserWarning: Component Unnamed_896 has no function_name. Using component.name instead.
netlist = get_netlist_func(component, **kwargs)
/home/ramprakash/anaconda3/envs/si_photo/lib/python3.13/site-packages/gdsfactory/get_netlist.py:707: UserWarning: Component Unnamed_899 has no function_name. Using component.name instead.
netlist = get_netlist_func(component, **kwargs)
/home/ramprakash/anaconda3/envs/si_photo/lib/python3.13/site-packages/gdsfactory/get_netlist.py:707: UserWarning: Component Unnamed_902 has no function_name. Using component.name instead.
netlist = get_netlist_func(component, **kwargs)
/home/ramprakash/anaconda3/envs/si_photo/lib/python3.13/site-packages/gdsfactory/get_netlist.py:707: UserWarning: Component Unnamed_905 has no function_name. Using component.name instead.
netlist = get_netlist_func(component, **kwargs)
/home/ramprakash/anaconda3/envs/si_photo/lib/python3.13/site-packages/gdsfactory/get_netlist.py:707: UserWarning: Component Unnamed_908 has no function_name. Using component.name instead.
netlist = get_netlist_func(component, **kwargs)
/home/ramprakash/anaconda3/envs/si_photo/lib/python3.13/site-packages/gdsfactory/get_netlist.py:707: UserWarning: Component Unnamed_911 has no function_name. Using component.name instead.
netlist = get_netlist_func(component, **kwargs)
/home/ramprakash/anaconda3/envs/si_photo/lib/python3.13/site-packages/gdsfactory/get_netlist.py:707: UserWarning: Component Unnamed_914 has no function_name. Using component.name instead.
netlist = get_netlist_func(component, **kwargs)
/home/ramprakash/anaconda3/envs/si_photo/lib/python3.13/site-packages/gdsfactory/get_netlist.py:707: UserWarning: Component mzi_gdsfactorypcomponentspmzispmzi_DL28p924107142857146_5b8db658$55 has no function_name. Using component.name instead.
netlist = get_netlist_func(component, **kwargs)
/home/ramprakash/anaconda3/envs/si_photo/lib/python3.13/site-packages/gdsfactory/get_netlist.py:707: UserWarning: Component mzi_gdsfactorypcomponentspmzispmzi_DL28p601190476190478_9ce56a5b$55 has no function_name. Using component.name instead.
netlist = get_netlist_func(component, **kwargs)
/home/ramprakash/anaconda3/envs/si_photo/lib/python3.13/site-packages/gdsfactory/get_netlist.py:707: UserWarning: Component mzi_gdsfactorypcomponentspmzispmzi_DL28p924107142857146_5b8db658$56 has no function_name. Using component.name instead.
netlist = get_netlist_func(component, **kwargs)
/home/ramprakash/anaconda3/envs/si_photo/lib/python3.13/site-packages/gdsfactory/get_netlist.py:707: UserWarning: Component mzi_gdsfactorypcomponentspmzispmzi_DL28p601190476190478_9ce56a5b$56 has no function_name. Using component.name instead.
netlist = get_netlist_func(component, **kwargs)
/home/ramprakash/anaconda3/envs/si_photo/lib/python3.13/site-packages/gdsfactory/get_netlist.py:707: UserWarning: Component mzi_gdsfactorypcomponentspmzispmzi_DL28p924107142857146_5b8db658$57 has no function_name. Using component.name instead.
netlist = get_netlist_func(component, **kwargs)
/home/ramprakash/anaconda3/envs/si_photo/lib/python3.13/site-packages/gdsfactory/get_netlist.py:707: UserWarning: Component mzi_gdsfactorypcomponentspmzispmzi_DL28p601190476190478_9ce56a5b$57 has no function_name. Using component.name instead.
netlist = get_netlist_func(component, **kwargs)
/home/ramprakash/anaconda3/envs/si_photo/lib/python3.13/site-packages/gdsfactory/get_netlist.py:707: UserWarning: Component mzi_gdsfactorypcomponentspmzispmzi_DL14p623511904761905_b81c5581$88 has no function_name. Using component.name instead.
netlist = get_netlist_func(component, **kwargs)
/home/ramprakash/anaconda3/envs/si_photo/lib/python3.13/site-packages/gdsfactory/get_netlist.py:707: UserWarning: Component mzi_gdsfactorypcomponentspmzispmzi_DL14p300595238095239_6a30077c$113 has no function_name. Using component.name instead.
netlist = get_netlist_func(component, **kwargs)
/home/ramprakash/anaconda3/envs/si_photo/lib/python3.13/site-packages/gdsfactory/get_netlist.py:707: UserWarning: Component mzi_gdsfactorypcomponentspmzispmzi_DL14p462053571428573_1a659f38$26 has no function_name. Using component.name instead.
netlist = get_netlist_func(component, **kwargs)
/home/ramprakash/anaconda3/envs/si_photo/lib/python3.13/site-packages/gdsfactory/get_netlist.py:707: UserWarning: Component mzi_gdsfactorypcomponentspmzispmzi_DL14p300595238095239_6a30077c$114 has no function_name. Using component.name instead.
netlist = get_netlist_func(component, **kwargs)
/home/ramprakash/anaconda3/envs/si_photo/lib/python3.13/site-packages/gdsfactory/get_netlist.py:707: UserWarning: Component mzi_gdsfactorypcomponentspmzispmzi_DL14p623511904761905_b81c5581$89 has no function_name. Using component.name instead.
netlist = get_netlist_func(component, **kwargs)
/home/ramprakash/anaconda3/envs/si_photo/lib/python3.13/site-packages/gdsfactory/get_netlist.py:707: UserWarning: Component mzi_gdsfactorypcomponentspmzispmzi_DL14p300595238095239_6a30077c$115 has no function_name. Using component.name instead.
netlist = get_netlist_func(component, **kwargs)
/home/ramprakash/anaconda3/envs/si_photo/lib/python3.13/site-packages/gdsfactory/get_netlist.py:707: UserWarning: Component mzi_gdsfactorypcomponentspmzispmzi_DL14p623511904761905_b81c5581$90 has no function_name. Using component.name instead.
netlist = get_netlist_func(component, **kwargs)
/home/ramprakash/anaconda3/envs/si_photo/lib/python3.13/site-packages/gdsfactory/get_netlist.py:707: UserWarning: Component mzi_gdsfactorypcomponentspmzispmzi_DL14p300595238095239_6a30077c$116 has no function_name. Using component.name instead.
netlist = get_netlist_func(component, **kwargs)
/home/ramprakash/anaconda3/envs/si_photo/lib/python3.13/site-packages/gdsfactory/get_netlist.py:707: UserWarning: Component mzi_gdsfactorypcomponentspmzispmzi_DL14p623511904761905_b81c5581$91 has no function_name. Using component.name instead.
netlist = get_netlist_func(component, **kwargs)
/home/ramprakash/anaconda3/envs/si_photo/lib/python3.13/site-packages/gdsfactory/get_netlist.py:707: UserWarning: Component mzi_gdsfactorypcomponentspmzispmzi_DL14p300595238095239_6a30077c$117 has no function_name. Using component.name instead.
netlist = get_netlist_func(component, **kwargs)
Found 32 components in hierarchy
Step 1: Patching all couplers...
[32m2025-12-07 06:47:56.068[0m | [1mINFO [0m | [36mgplugins.gmeep.write_sparameters_meep_mpi[0m:[36mwrite_sparameters_meep_mpi[0m:[36m148[0m - [1mSimulation PosixPath('/home/ramprakash/Integrated_Tests/test_outputs/fitted_dc_2.996.npz') already exists[0m
[32m2025-12-07 06:47:56.070[0m | [1mINFO [0m | [36mgplugins.gmeep.write_sparameters_meep_mpi[0m:[36mwrite_sparameters_meep_mpi[0m:[36m148[0m - [1mSimulation PosixPath('/home/ramprakash/Integrated_Tests/test_outputs/fitted_dc_0.115.npz') already exists[0m
[32m2025-12-07 06:47:56.072[0m | [1mINFO [0m | [36mgplugins.gmeep.write_sparameters_meep_mpi[0m:[36mwrite_sparameters_meep_mpi[0m:[36m148[0m - [1mSimulation PosixPath('/home/ramprakash/Integrated_Tests/test_outputs/fitted_dc_0.02.npz') already exists[0m
[32m2025-12-07 06:47:56.075[0m | [1mINFO [0m | [36mgplugins.gmeep.write_sparameters_meep_mpi[0m:[36mwrite_sparameters_meep_mpi[0m:[36m148[0m - [1mSimulation PosixPath('/home/ramprakash/Integrated_Tests/test_outputs/fitted_dc_2.996.npz') already exists[0m
[32m2025-12-07 06:47:56.076[0m | [1mINFO [0m | [36mgplugins.gmeep.write_sparameters_meep_mpi[0m:[36mwrite_sparameters_meep_mpi[0m:[36m148[0m - [1mSimulation PosixPath('/home/ramprakash/Integrated_Tests/test_outputs/fitted_dc_1.189.npz') already exists[0m
[32m2025-12-07 06:47:56.078[0m | [1mINFO [0m | [36mgplugins.gmeep.write_sparameters_meep_mpi[0m:[36mwrite_sparameters_meep_mpi[0m:[36m148[0m - [1mSimulation PosixPath('/home/ramprakash/Integrated_Tests/test_outputs/fitted_dc_2.996.npz') already exists[0m
[32m2025-12-07 06:47:56.080[0m | [1mINFO [0m | [36mgplugins.gmeep.write_sparameters_meep_mpi[0m:[36mwrite_sparameters_meep_mpi[0m:[36m148[0m - [1mSimulation PosixPath('/home/ramprakash/Integrated_Tests/test_outputs/fitted_dc_1.189.npz') already exists[0m
[32m2025-12-07 06:47:56.082[0m | [1mINFO [0m | [36mgplugins.gmeep.write_sparameters_meep_mpi[0m:[36mwrite_sparameters_meep_mpi[0m:[36m148[0m - [1mSimulation PosixPath('/home/ramprakash/Integrated_Tests/test_outputs/fitted_dc_2.996.npz') already exists[0m
[32m2025-12-07 06:47:56.084[0m | [1mINFO [0m | [36mgplugins.gmeep.write_sparameters_meep_mpi[0m:[36mwrite_sparameters_meep_mpi[0m:[36m148[0m - [1mSimulation PosixPath('/home/ramprakash/Integrated_Tests/test_outputs/fitted_dc_1.189.npz') already exists[0m
[32m2025-12-07 06:47:56.086[0m | [1mINFO [0m | [36mgplugins.gmeep.write_sparameters_meep_mpi[0m:[36mwrite_sparameters_meep_mpi[0m:[36m148[0m - [1mSimulation PosixPath('/home/ramprakash/Integrated_Tests/test_outputs/fitted_dc_2.996.npz') already exists[0m
[32m2025-12-07 06:47:56.088[0m | [1mINFO [0m | [36mgplugins.gmeep.write_sparameters_meep_mpi[0m:[36mwrite_sparameters_meep_mpi[0m:[36m148[0m - [1mSimulation PosixPath('/home/ramprakash/Integrated_Tests/test_outputs/fitted_dc_0.115.npz') already exists[0m
[32m2025-12-07 06:47:56.090[0m | [1mINFO [0m | [36mgplugins.gmeep.write_sparameters_meep_mpi[0m:[36mwrite_sparameters_meep_mpi[0m:[36m148[0m - [1mSimulation PosixPath('/home/ramprakash/Integrated_Tests/test_outputs/fitted_dc_0.02.npz') already exists[0m
[32m2025-12-07 06:47:56.092[0m | [1mINFO [0m | [36mgplugins.gmeep.write_sparameters_meep_mpi[0m:[36mwrite_sparameters_meep_mpi[0m:[36m148[0m - [1mSimulation PosixPath('/home/ramprakash/Integrated_Tests/test_outputs/fitted_dc_2.996.npz') already exists[0m
[32m2025-12-07 06:47:56.096[0m | [1mINFO [0m | [36mgplugins.gmeep.write_sparameters_meep_mpi[0m:[36mwrite_sparameters_meep_mpi[0m:[36m148[0m - [1mSimulation PosixPath('/home/ramprakash/Integrated_Tests/test_outputs/fitted_dc_1.189.npz') already exists[0m
[32m2025-12-07 06:47:56.099[0m | [1mINFO [0m | [36mgplugins.gmeep.write_sparameters_meep_mpi[0m:[36mwrite_sparameters_meep_mpi[0m:[36m148[0m - [1mSimulation PosixPath('/home/ramprakash/Integrated_Tests/test_outputs/fitted_dc_2.996.npz') already exists[0m
[32m2025-12-07 06:47:56.101[0m | [1mINFO [0m | [36mgplugins.gmeep.write_sparameters_meep_mpi[0m:[36mwrite_sparameters_meep_mpi[0m:[36m148[0m - [1mSimulation PosixPath('/home/ramprakash/Integrated_Tests/test_outputs/fitted_dc_1.189.npz') already exists[0m
[32m2025-12-07 06:47:56.104[0m | [1mINFO [0m | [36mgplugins.gmeep.write_sparameters_meep_mpi[0m:[36mwrite_sparameters_meep_mpi[0m:[36m148[0m - [1mSimulation PosixPath('/home/ramprakash/Integrated_Tests/test_outputs/fitted_dc_2.996.npz') already exists[0m
[32m2025-12-07 06:47:56.107[0m | [1mINFO [0m | [36mgplugins.gmeep.write_sparameters_meep_mpi[0m:[36mwrite_sparameters_meep_mpi[0m:[36m148[0m - [1mSimulation PosixPath('/home/ramprakash/Integrated_Tests/test_outputs/fitted_dc_1.189.npz') already exists[0m
[32m2025-12-07 06:47:56.110[0m | [1mINFO [0m | [36mgplugins.gmeep.write_sparameters_meep_mpi[0m:[36mwrite_sparameters_meep_mpi[0m:[36m148[0m - [1mSimulation PosixPath('/home/ramprakash/Integrated_Tests/test_outputs/fitted_dc_2.996.npz') already exists[0m
[32m2025-12-07 06:47:56.113[0m | [1mINFO [0m | [36mgplugins.gmeep.write_sparameters_meep_mpi[0m:[36mwrite_sparameters_meep_mpi[0m:[36m148[0m - [1mSimulation PosixPath('/home/ramprakash/Integrated_Tests/test_outputs/fitted_dc_1.189.npz') already exists[0m
[32m2025-12-07 06:47:56.117[0m | [1mINFO [0m | [36mgplugins.gmeep.write_sparameters_meep_mpi[0m:[36mwrite_sparameters_meep_mpi[0m:[36m148[0m - [1mSimulation PosixPath('/home/ramprakash/Integrated_Tests/test_outputs/fitted_dc_2.996.npz') already exists[0m
[32m2025-12-07 06:47:56.120[0m | [1mINFO [0m | [36mgplugins.gmeep.write_sparameters_meep_mpi[0m:[36mwrite_sparameters_meep_mpi[0m:[36m148[0m - [1mSimulation PosixPath('/home/ramprakash/Integrated_Tests/test_outputs/fitted_dc_1.189.npz') already exists[0m
[32m2025-12-07 06:47:56.123[0m | [1mINFO [0m | [36mgplugins.gmeep.write_sparameters_meep_mpi[0m:[36mwrite_sparameters_meep_mpi[0m:[36m148[0m - [1mSimulation PosixPath('/home/ramprakash/Integrated_Tests/test_outputs/fitted_dc_2.996.npz') already exists[0m
Step 2: Building component models in dependency order...
[32m2025-12-07 06:47:56.125[0m | [1mINFO [0m | [36mgplugins.gmeep.write_sparameters_meep_mpi[0m:[36mwrite_sparameters_meep_mpi[0m:[36m148[0m - [1mSimulation PosixPath('/home/ramprakash/Integrated_Tests/test_outputs/fitted_dc_1.189.npz') already exists[0m
/home/ramprakash/anaconda3/envs/si_photo/lib/python3.13/site-packages/gdsfactory/get_netlist.py:707: UserWarning: Component mzi_gdsfactorypcomponentspmzispmzi_DL14p623511904761905_b81c5581$92 has no function_name. Using component.name instead.
netlist = get_netlist_func(component, **kwargs)
/home/ramprakash/anaconda3/envs/si_photo/lib/python3.13/site-packages/gdsfactory/get_netlist.py:707: UserWarning: Component mzi_gdsfactorypcomponentspmzispmzi_DL14p300595238095239_6a30077c$118 has no function_name. Using component.name instead.
netlist = get_netlist_func(component, **kwargs)
Built 31 components successfully
Remaining: 0
Step 3: Building top-level circuit...
✓ Top-level circuit built successfully!
Simulating...
Available ports: [('in1', 'in1'), ('in1', 'in2'), ('in1', 'ch_4'), ('in1', 'ch_2'), ('in1', 'ch_3'), ('in1', 'ch_1'), ('in2', 'in1'), ('in2', 'in2'), ('in2', 'ch_4'), ('in2', 'ch_2'), ('in2', 'ch_3'), ('in2', 'ch_1'), ('ch_4', 'in1'), ('ch_4', 'in2'), ('ch_4', 'ch_4'), ('ch_4', 'ch_2'), ('ch_4', 'ch_3'), ('ch_4', 'ch_1'), ('ch_2', 'in1'), ('ch_2', 'in2'), ('ch_2', 'ch_4'), ('ch_2', 'ch_2'), ('ch_2', 'ch_3'), ('ch_2', 'ch_1'), ('ch_3', 'in1'), ('ch_3', 'in2'), ('ch_3', 'ch_4'), ('ch_3', 'ch_2'), ('ch_3', 'ch_3'), ('ch_3', 'ch_1'), ('ch_1', 'in1'), ('ch_1', 'in2'), ('ch_1', 'ch_4'), ('ch_1', 'ch_2'), ('ch_1', 'ch_3'), ('ch_1', 'ch_1')]
1
✓ Simulation complete!
















