Ring Resonator Phase-Change Switch
Ring Resonator Phase-Change Switch
🌀 Overview
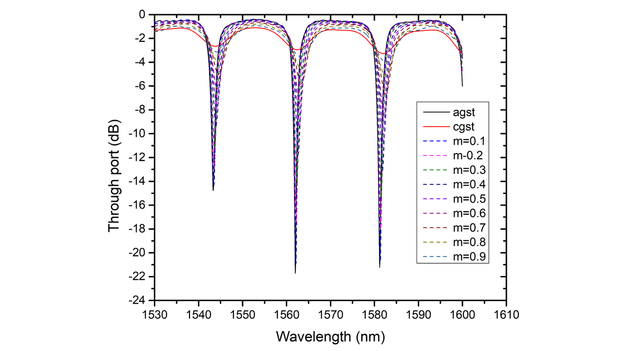
This post presents the design and simulation of a Ring Resonator - Phase-Change Switch, modeled using CST Microwave Studio.
The design concept is based on Nadir Ali et al., 2021 —
“Electrically controlled 1 × 2 tunable switch using a phase change material embedded silicon microring”,
Applied Optics, Vol. 60, No. 12, pp. 3559–3568.
(DOI: 10.1364/AO.418358)
📊 Simulation Results
Here are selected slides from the CST study:
This post is licensed under CC BY 4.0 by the author.
